|
OrdinaryMeeting Notice and Agenda
An Ordinary Meeting of the Bega Valley Shire Council will be held at Council Chambers, Biamanga Room, Bega Valley Commemorative Civic Centre, Bega on Wednesday, 10 December 2025 commencing at 2:00pm to consider and resolve on the matters set out in the attached Agenda.
|
Council meetings are recorded and live streamed to the Internet for public viewing. By entering the Chambers during an open session of Council, you consent to your attendance and participation being recorded.
The recording will be archived and made available on Council’s website www.begavalley.nsw.gov.au. All care is taken to maintain your privacy; however as a visitor of the public gallery, your presence may be recorded.
The Agendas for Council Meetings and Council Reports for each meeting will be available to the public on Council’s website as close as possible to 5.00 pm on the Thursday prior to each Ordinary Meeting. A hard copy is also made available at the Bega Administration Building reception desk and on the day of the meeting, in the Council Chambers.
The Minutes of Council Meetings are available on Council's Website as close as possible to 5.00 pm on the Monday after the Meeting.
1. Please be aware that the recommendations in the Council Meeting Agenda are recommendations to the Council for consideration. They are not the resolutions (decisions) of Council.
2. Background for reports is provided by staff to the Chief Executive Officer for presentation to Council.
3. The Council may adopt these recommendations, amend the recommendations, determine a completely different course of action, or it may decline to pursue any course of action.
4. The decision of the Council becomes the resolution of the Council, and is recorded in the Minutes of that meeting.
5. The Minutes of each Council meeting are published in draft format, and are confirmed by Councillors, with amendments if necessary, at the next available Council Meeting.
If you require any further information or clarification regarding a report to Council, please contact Council’s Executive Assistant who can provide you with the appropriate contact details
Phone (02 6499 2222) or email execassist@begavalley.nsw.gov.au.
· Is the decision or conduct legal?
· Is it consistent with Government policy, Council’s objectives and Code of Conduct?
· What will the outcome be for you, your colleagues, the Council, anyone else?
· Does it raise a conflict of interest?
· Do you stand to gain personally at public expense?
· Can the decision be justified in terms of public interest?
· Would it withstand public scrutiny?
A conflict of interest is a clash between private interest and public duty. There are two types of conflict:
· Pecuniary – regulated by the Local Government Act 1993 and Office of Local Government
· Non-pecuniary – regulated by Codes of Conduct and policy. ICAC, Ombudsman, Office of Local Government (advice only). If declaring a Non-Pecuniary Conflict of Interest, Councillors can choose to either disclose and vote, disclose and not vote or leave the Chamber.
· Is it likely I could be influenced by personal interest in carrying out my public duty?
· Would a fair and reasonable person believe I could be so influenced?
· Conflict of interest is closely tied to the layperson’s definition of ‘corruption’ – using public office for private gain.
· Important to consider public perceptions of whether you have a conflict of interest.
1st Do I have private interests affected by a matter I am officially involved in?
2nd Is my official role one of influence or perceived influence over the matter?
3rd Do my private interests conflict with my official role?
For more detailed definitions refer to Sections 442, 448 and 459 or the Local Government Act 1993 and Bega Valley Shire Council (and Model) Code of Conduct, Part 4 – conflict of interest.
Whilst seeking advice is generally useful, the ultimate decision rests with the person concerned.Officers of the following agencies are available during office hours to discuss the obligations placed on Councillors, officers and community committee members by various pieces of legislation, regulation and codes.
|
Contact |
Phone |
|
Website |
|
Bega Valley Shire Council |
(02) 6499 2222 |
council@begavalley.nsw.gov.au |
www.begavalley.nsw.gov.au |
|
ICAC |
8281 5999 Toll Free 1800 463 909 |
icac@icac.nsw.gov.au |
www.icac.nsw.gov.au |
|
Office of Local Government |
(02) 4428 4100 |
olg@olg.nsw.gov.au |
http://www.olg.nsw.gov.au/ |
|
NSW Ombudsman |
(02) 8286 1000 Toll Free 1800 451 524 |
nswombo@ombo.nsw.gov.au |
Under the provisions of Section 451(1) of the Local Government Act 1993 (pecuniary interests) and Part 4 of the Model Code of Conduct prescribed by the Local Government (Discipline) Regulation (conflict of interests) it is necessary for you to disclose the nature of the interest when making a disclosure of a pecuniary interest or a non-pecuniary conflict of interest at a meeting.
The following form should be completed and handed to the Chief Executive Officer as soon as practible once the interest is identified. Declarations are made at Item 3 of the Agenda: Declarations - Pecuniary, Non-Pecuniary and Political Donation Disclosures, and prior to each Item being discussed:
Council meeting held on __________(day) / ___________(month) /____________(year)
|
Item no & subject |
|
|
Pecuniary Interest
|
In my opinion, my interest is pecuniary and I am therefore required to take the action specified in section 451(2) of the Local Government Act 1993 and or any other action required by the Chief Executive Officer. |
|
Significant Non-pecuniary conflict of interest |
– In my opinion, my interest is non-pecuniary but significant. I am unable to remove the source of conflict. I am therefore required to treat the interest as if it were pecuniary and take the action specified in section 451(2) of the Local Government Act 1993. |
|
Non-pecuniary conflict of interest |
In my opinion, my interest is non-pecuniary and less than significant. I therefore make this declaration as I am required to do pursuant to clause 5.11 of Council’s Code of Conduct. However, I intend to continue to be involved with the matter. |
|
Nature of interest |
Be specific and include information such as : · The names of any person or organization with which you have a relationship · The nature of your relationship with the person or organization · The reason(s) why you consider the situation may (or may be perceived to) give rise to a conflict between your personal interests and your public duty as a Councillor. |
|
If Pecuniary |
Leave chamber |
|
If Non-pecuniary (tick one) |
Disclose & vote Disclose & not vote Leave chamber |
|
Reason for action proposed |
Clause 5.11 of Council’s Code of Conduct provides that if you determine that a non-pecuniary conflict of interest is less than significant and does not require further action, you must provide an explanation of why you consider that conflict does not require further action in the circumstances |
|
Print Name |
I disclose the above interest and acknowledge that I will take appropriate action as I have indicated above. |
|
Signed |
|
NB: Please complete a separate form for each Item on the Council Agenda on which you are declaring an interest.
|
10 December 2025 |
Statement of Ethical Obligations
Recommendation
That the Minutes of the Ordinary Meeting held on 12 November 2025 as circulated, be taken as read and confirmed.
Pecuniary, Non-Pecuniary and Political Donation Disclosures to be declared and tabled. Declarations also to be declared prior to discussion on each item.
8.1 Section 8.2 Review of Determination - Mixed Use Development including the Construction of a Commercial Premises and Change of Use from Shed to Dwelling - 18 Mitchell Street, Eden 9
8.2 Request to Waive Section 7.11 developer contributions for certain approved Secondary Dwelling development applications........................................................................................................ 81
8.3 Review of Procedure Dangerous and Menacing Dog Declaration Appeals and Revocation 86
8.4 Review of Procedure 4.04.06 Companion Animal Control Areas....................................... 104
8.5 Brighter Futures - request to extend service.......................................................................... 161
8.6 Change to Council delegate on the Board of Management of South East Arts and Montreal Goldfields committee.............................................................................................................. 165
9.1 Bega Valley Local Transport Forum 4 November 2025......................................................... 169
9.2 Draft Recreation Strategy - Outcome of public exhibition................................................... 211
10.1 Code of Conduct Statistical Reporting 2024/2025................................................................. 270
10.2 Proposed temporary licence at Dickinsons Recreation Reserve in Bermagui.................. 276
10.3 Proposed transfer of tenure: Eden Scouts Hall to Eden Men’s Shed................................. 299
10.4 Notice of liquidation of Playability Eden and proposed new licence to Tulgeen............. 305
10.5 Licence Agreements - Old Merimbula School Site................................................................. 310
10.6 Certificate of Investment November 2025.............................................................................. 333
11.1 Customer Experience Framework and Improvement Plan including Values Refresh..... 340
12.1 Cr O’Neil – Four Festivals: Giiyong, Headland Writers, Spring Music Youth and Bega Streetlight Festival....................................................................................................................................... 415
14.1 Merimbula Tennis Club request for rate exemption............................................................. 418
15.1 Cr Haggar - Native Forest Logging on Private Lands.............................................................. 421
16.1 Cr Haggar - Secondary dwellings progress and public notification..................................... 423
Representations by members of the public regarding closure of part of meeting
Adjournment Into Closed Session, exclusion of the media and public........................... 424
17.1 Chief Executive Officer Performance Review and Performance Plan
This report is confidential in accordance with section 10A (2) (a) of the Local Government act 1993 as the report contains personnel matters concerning particular individuals.
|
Council |
10 December 2025 |
Staff Reports – Community, Environment and Planning
10 December 2025
8.1 Section 8.2 Review of Determination - Mixed Use Development including the Construction of a Commercial Premises and Change of Use from Shed to Dwelling - 18 Mitchell Street, Eden....................................................................................................................... 9
8.2 Request to Waive Section 7.11 developer contributions for certain approved Secondary Dwelling development applications.................................................................... 81
8.3 Review of Procedure Dangerous and Menacing Dog Declaration Appeals and Revocation............................................................................................................................. 86
8.4 Review of Procedure 4.04.06 Companion Animal Control Areas..................... 104
8.5 Brighter Futures - request to extend service.................................................... 161
8.6 Change to Council delegate on the Board of Management of South East Arts and Montreal Goldfields committee........................................................................................ 165
|
Item 8.1 |
8.1. 2024.247 Section 8.2 Review of Determination - Mixed Use Development including the Construction of a Commercial Premises and Change of Use from Shed to Dwelling - 18 Mitchell Street, Eden
Director Community Environment and Planning
|
Applicant |
KEEPLAN PTY LIMITED |
|
Owner |
Robert & Denise Gilman |
|
Site |
Lot: 18 DP: 1282865 – 18 Mitchell Street, Eden |
|
Zone |
E1 Local Centre |
|
Site area |
432m² |
|
Proposed development |
Section 8.2 Review of Determination - Mixed Use Development including the Construction of a Commercial Premises and Change of Use from Shed to Dwelling |
The Applicant for Development Application 2022.247 has submitted a Section 8.2 Review Application for Council’s consideration.
This matter is being reported to Council as the application is accompanied by a Clause 4.6 Variation Request to the Bega Valley Local Environmental Plan 2013 Clause 6.20 development standard for the provision of Adaptable Housing. As the variation request proposes only partial compliance with the Silver Performance Level standard of the Liveable Housing Guidelines, the development seeks a variation to the development standard greater than 10%. Council’s assessing staff do not have delegation to determine variations to development standards greater than 10% and therefore the application is to be determined by the elected Council.
The Section 8.2 application lodged by the applicant also seeks the review of several other conditions of the development consent, as detailed in this report. The amended application is recommended for approval, subject to the modified conditions provided in Attachment 1.
That Council:
1. Support the Clause 4.6 variation request to permit partial compliance with the Silver Performance Level of the Liveable Housing Guidelines, as specified by Clause 6.20 of the Bega Valley Local Environmental Plan 2013.
2. Approve changes to the Notice of Determination for Development Application 2023.159 for the Mixed Use Development including the Construction of a Commercial Premises and Change of Use from Shed to Dwelling on Lot: 18 DP: 1282865 – 18 Mitchell Street, Eden as specified in the Notice of Review Determination provided as Attachment 1 to this report.
Executive Summary
The Section 8.2 Review of Determination application lodged by the applicant to Development Application 2024.247 is being reported to Council for determination as the application seeks to vary the degree of compliance with the requirements of the Silver Performance Level standards of the Liveable Housing Guidelines, compliance of which is required under Clause 6.20 Adaptable Housing of the Bega Valley Local Environmental Plan 2013.
As the variation sought is greater than 10%, Council assessing staff do not have delegation to determine the application and therefore the application is to be determined by the elected Council.
The original development proposal was assessed under Section 4.15 of the Environmental Planning and Assessment Act 1979 (EP&A Act) and was approved under staff delegation. The original approval required full compliance with the provisions of the Liveable Housing Guidelines.
The variation sought by the Applicant to the silver performance level standard under Clause 6.20 Adaptable housing, seeks to comply with the majority of the required standards, with the exception of 38% of the design requirements. On review, staff conclude that the Applicant has suitably demonstrated that full compliance with the development standard is unreasonable and unnecessary in the particular circumstances of this case and that there are sufficient environmental planning grounds to allow only partial compliance with the standard. Noting that the objective of the development standard is to increase the number of dwellings in the Bega Valley that are constructed in a way that permits adaptation for persons with disability and/or age related mobility concerns, the difficulties of full compliance in this situation (which includes retrofitting an existing building) are accepted and partial compliance is considered to still enable suitable adaption and use of the dwelling for this purpose.
The development aligns with Council’s adopted strategic direction that recognises the need for denser urban settlement closer to town centres, as reinforced in Council’s adopted Local Strategic Planning Statement (LSPS).
The Section 8.2 Review of Determination has merit and it is recommended that Council resolve to approve the changes to the Modified Notice of Determination as specified in the Notice of Review Determination provided at Attachment 1.
Background
Development Consent 2024.247 was approved under staff delegation on 18 March 2025 (Attachment 2 provides a copy of the Original Notice of Determination). The development consent provided approval for a Mixed Use Development including the Construction of a Commercial Premises and Change of Use from a Shed to a Dwelling. The Change in Use from a Shed to a Dwelling was sought as this had already been undertaken by the owners without prior development approval and the prospective use of the building as a dwelling was sought.
The applicant lodged a Review of Determination under Section 8.2 of the Environmental Planning and Assessment Act 1979 on 20 May 2025. The review requests reconsideration of Conditions 6, 7, 10, 17 and 29. Several requests for additional information were issued by staff seeking to clarify the extent of the Clause 4.6 variation to the silver performance level standard required. This additional information is included as Attachment 3 which includes the initial Section 8.2 request, a compliance table addressing the standards, and an amended plan indicating some additional works required to at least partially comply with the standard.
Site Description
The development site is located approximately 200 metres north of the Eden Town Centre and is legally described as Lot: 18 DP: 1282865 – 18 Mitchell Street, Eden (see Figure 1 below). The site is rectangular in shape with a street frontage of 11.25 metres.

Figure 1: The site highlighted in red.
Planning Assessment
Part 8 of the EP&A Act relates to Reviews and Appeals to the determination of a development application. Pursuant to Division 8.2, an applicant may request a review of a determination made for a development application under Part 4 of the EP&A Act.
Section 8.3 relates to the conduct of the review and states the following:
8.3 Application for and conduct of review
(1) An applicant for development consent may request a consent authority to review a determination or decision made by the consent authority. The consent authority is to review the determination or decision if duly requested to do so under this Division.
(2) A determination or decision cannot be reviewed under this Division—
(a) after the period within which any appeal may be made to the Court has expired if no appeal was made, or
(b) after the Court has disposed of an appeal against the determination or decision.
(3) In requesting a review, the applicant may amend the proposed development the subject of the original application for development consent or for modification of development consent. The consent authority may review the matter having regard to the amended development, but only if it is satisfied that it is substantially the same development.
(4) The review of a determination or decision made by a delegate of a council is to be conducted—
(a) by the council (unless the determination or decision may be made only by a local planning panel or delegate of the council), or
(b) by another delegate of the council who is not subordinate to the delegate who made the determination or decision.
The requested review has been assessed in accordance with Section 8.3 of the Environmental Planning and Assessment Act 1979.
Section 8.6 clarifies that decisions subject to appeal to the Land and Environment Court apply to both a Part 4 development consent and a decision made after review under Division 8.2.
8.6 Decisions subject to appeal to Court under this Division
(1) A decision of a consent authority under Part 4 in relation to an application for development consent or a development consent is (if this Division so provides) subject to appeal to the Court under this Division.
(2) A decision subject to appeal includes a decision made after a review under Division 8.2.
The request for Section 8.2 review was lodged within the relevant time frame specified by the Act.
The development application was originally determined under the delegated authority of the assessing officer, with consent issued on 18 March 2025. In accordance with Section 8.3, the determination of this review may be made under staff delegation providing the final determination is by an officer not subordinate to the original determining officer, which would normally be the Manager or Director. However, as the Applicant seeks to vary part of a development standard and the resulting variation is greater than 10% the elected Council becomes the determining authority in this case.
Submission by Applicant
As detailed above, the Applicant has sought review of several conditions and detailed comments on the appropriateness of the wording or imposition of those conditions. Attachment 3 provides the Applicant’s submission in this regard. The Applicant is requesting a review of Conditions 6, 7, 10, 17 and 29, as detailed below.
Condition 6. Compliance with the Building Code of Australia
The existing Condition reads as follows:
All building work shall be carried out in accordance with the provisions of the Building Code of Australia. A reference to the Building Code of Australia is a reference to that Code as in force on the date the application is made for the relevant construction certificate.
Applicant’s Review Request: We seek that Condition 6 of the consent is amended by the insertion of, “All prospective building work” instead of the current wording of “All building work…”. This is to ensure pre-existing structures do not need to be upgraded to current BCA standards (except where otherwise stated in the conditions).
Staff review comments: The condition relates to all building work to be undertaken as part of construction works detailed in the application and stamped plans. It is noted that the application provides approval for the change of use of the shed to a dwelling and given that some building works are still required to address the Liveable Housing Guidelines, no objection is raised to the requested addition of the word ‘prospective’ to Condition 6 to provide clarity in this matter.
Therefore it is proposed that Condition 6 is amended to read as follows:
All prospective building work shall be carried out in accordance with the provisions of the Building Code of Australia. A reference to the Building Code of Australia is a reference to that Code as in force on the date the application is made for the relevant construction certificate.
Condition 7. Building Information Certificate
The existing Condition reads as follows:
A building information certificate for the existing dwelling shall be lodged with Council.
Applicant’s Review Request: We request that Condition 7 is amended to add the word “application, so that it reads “A building information certificate application for the existing dwelling shall be lodged with Council.” This is because it appears that the intention is for the Building Information Certificate application to be lodged with Council prior to Construction Certificate (as a BIC would be granted by Council, not lodged with it).
Alternatively, if it is Council’s intention that the BIC be actually granted before occupation, then we request that Condition 7 is required to be satisfied prior to issue of an Occupation Certificate rather than prior to a Construction Certificate as is currently the case. The BIC should only be required for occupation and not prior to issue of a construction certificate.
Staff review comments: The condition as worded is to ensure that a Building Information Certificate is obtained on the works carried out to enable utilisation of the existing shed as a dwelling. For the purpose of clarity for the application, no objection is raised to the requested condition amendment.
Therefore it is proposed that Condition 7 is amended to read as follows:
Condition 10. Dwelling must demonstrate compliance with the silver performance level
The existing Condition reads as follows:
Prior to the issue of Construction Certificate for the commercial building, the existing dwelling shall be upgraded to demonstrate compliance for access of people with disabilities and must be provided in accordance with the silver performance level.
Note: ‘Silver performance level’ means the silver level performance level set out in the Liveable Housing Guidelines, Fourth Edition, published by Liveable Housing Australia in 2017.
Applicant’s Review Request: We believe that imposition of condition No.10 of the consent is superfluous and unwarranted in the circumstances for a number of reasons. Firstly, the proposal is of a minor nature involving the regularisation of one existing dwelling and the construction of a new commercial building. It does not represent a larger scale medium or high density residential development that the clause is intended for. The site is also highly constrained in regard to accessibility given the steep topography renders it unsuitable for disabled access. Accordingly, at the request of Council staff we have submitted a Clause 4.6 Variation Report in support of varying the development standard which outlines sound environmental planning grounds to warrant varying the requirement to provide silver performance level accessibility to the existing dwelling.
Staff review comments: It is accepted that this development poses a unique set of circumstances, in that the building exists, however the applicant has now suitably demonstrated that at least some elements of Liveable Housing Guidelines can be achieved, demonstrating that the objective of the development standard can be suitably upheld.
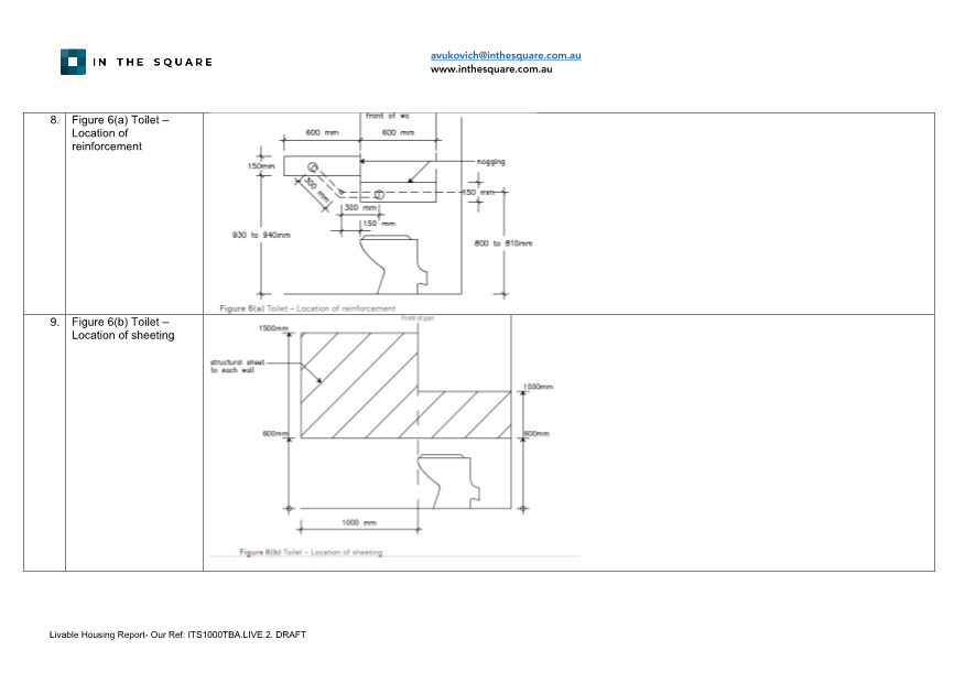
Attachment 3 to this report includes information provided by Andrew Vukovich of ‘In The Square’ consultants, amended plans provided by Richie McNeil Design and a compliance table analysis by Metroplanning town planning consultants. The assessment details the items of non-compliance with the development standard and the amended plans indicate additional works proposed to meet some aspects of the standard.
With the additional information submitted with the application, consideration of the proposed Clause 4.6 variation has been undertaken, with the following assessment matters noted:
The Review Application is accompanied by a suitably documented and demonstrated Variation Request to the development standard specified by Clause 6.20, being the need for compliance with the Silver Performance Level as set out in the Liveable Housing Guidelines, Fourth Edition, published by Liveable Housing Australia in 2017.
Council as the consent authority, may consider variations to development standards with the use of Clause 4.6 of the BVLEP, provided the proposal:
a) demonstrates that compliance with the development standard is unreasonable and unnecessary in the circumstances of the case, and
b) demonstrates that there are sufficient environmental planning grounds to justify the contravention of the development standard.
Clause 6.20 Adaptable housing
The objectives and relevant commentary of Clause 6.20 of the BVLEP 2013 are as follows:
(1) The objective of this clause is to increase the number of dwellings in Bega Valley that are constructed in a way permitting adaptation for persons with a disability.
(2) (2) Development consent must not be granted for the purposes of residential accommodation in Zone E1 Local Centre or Zone E2 Commercial Centre unless the consent authority is satisfied of the following—
(a) all dwellings at ground level will meet the silver performance level,
(b) for development for the purposes of residential flat buildings containing 4 or more dwellings above ground level—at least 25% of dwellings above ground level will meet the silver performance level,
(c) for development for the purposes of shop top housing containing 4 or more dwellings—at least 25% of the dwellings will meet the silver performance level.
Whether compliance with the standard is unreasonable or unnecessary
As outlined within the matter of Wehbe v Pittwater Council [2007] NSWLEC 827, it was established that in order to demonstrate that compliance with the development standard is unreasonable or unnecessary in the circumstances of the case, an applicant must demonstrate either of the following:
• the objectives of the development standard are achieved notwithstanding non-compliance with the standard; or
• the underlying objective or purpose of the standard is not relevant to the development; or
• the underlying objective or purpose would be defeated or thwarted if compliance was required; or
• the standard has been virtually abandoned or destroyed by the Council’s own actions in granting consents departing from the standard; or
• the zoning of land was unreasonable or inappropriate, such that the standards for that zoning are also unreasonable or unnecessary.
The Applicant’s written request for the variation of the silver performance level seeks to satisfy this requirement by demonstrating that the objectives of the development standard are achieved, notwithstanding the degree of non-compliance.
Council assessment staff concur with the applicant’s additional justification and conclude that the objectives of the development standard have been achieved for the following reasons:
· The dwelling does and can provide improved suitable level of compliance and meet the Planning Priorities outlined in the Local Strategic Planning Statement 2020 and Residential Land Strategy 2040.
· The additional works proposed to the building to improve adaptability will meet the objectives of the development standard.
Whether there are sufficient environmental planning grounds to justify the contravention of the development standard
In the matter of Initial Action Pty Ltd v Woollahra Municipal Council [2018] NSWLEC 118, Preston CJ provides the following guidance (ref: paragraph 23) to inform the consent authority’s finding that the applicant’s written request has adequately demonstrated that there are sufficient environmental planning grounds to justify contravening the development standard:
‘As to the second matter required by clause 4.6(3)(b), the grounds relied on by the applicant in the written request under cl 4.6 must be “environmental planning grounds” by their nature: see Four2Five Pty Ltd v Ashfield Council [2015] NSWLEC 90 at [26]. The adjectival phrase “environmental planning” is not defined but would refer to grounds that relate to the subject matter, scope and purpose of the EPA Act, including the objects in section 1.3 of the EPA Act.’
Section 1.3 of the EP&A Act reads as follows:
(a) to promote the social and economic welfare of the community and a better environment by the proper management, development and conservation of the State’s natural and other resources,
(b) to facilitate ecologically sustainable development by integrating relevant economic, environmental and social considerations in decision-making about environmental planning and assessment,
(c) to promote the orderly and economic use and development of land,
(d) to promote the delivery and maintenance of affordable housing,
(e) to protect the environment, including the conservation of threatened and other species of native animals and plants, ecological communities and their habitats,
(f) to promote the sustainable management of built and cultural heritage (including Aboriginal cultural heritage),
(g) to promote good design and amenity of the built environment,
(h) to promote the proper construction and maintenance of buildings, including the protection of the health and safety of their occupants,
(i) to promote the sharing of the responsibility for environmental planning and assessment between the different levels of government in the State,
(j) to provide increased opportunity for community participation in environmental planning and assessment.
The applicant has submitted that there are sufficient environmental planning grounds to justify the variation of several performance requirements of the silver performance level required by Clause 6.20.
In this regard, the applicant’s written request and additional information submitted with the Review of determination has demonstrated that the proposed development is an orderly and economic use and development of the land, and that the development will reasonably enable the dwelling to provide improved useability for the purposes of Adaptable Housing, thereby satisfying sections 1.3 (c) and (g) of the EP&A Act 1979.
The condition as worded was to ensure that a dwelling makes suitable provisions for the ‘Silver performance level’ which means the silver level performance level set out in the Liveable Housing Guidelines. As the amended plans provided by the applicant indicated that additional measures will be incorporated into the dwelling design to achieve the majority of the Silver Performance Level requirements, staff raise no objection to the variation to the development standard as proposed and recommend Condition 10 be amended follows:
Dwelling must demonstrate compliance with the specified Silver Performance Level requirements.
Prior to the issue of Construction Certificate for the commercial building, the existing dwelling shall be upgraded to the satisfaction of Council demonstrating upgrade provisions to enable compliance for access of people with disabilities and must be provided in accordance with the silver performance level, as detailed on design plan by Richie McNeil Design, reference R2332, Sheet No. 1.5, dated 9 September 2025.
Note: ‘Silver performance level’ means the silver level performance level set out in the Liveable Housing Guidelines, Fourth Edition, published by Liveable Housing Australia in 2017.
Condition 17. Power infrastructure must be relocated
The existing Condition reads as follows:
A level 2 Accredited Service Provider (ASP) will be required to move the existing service that cuts through the subject land to service 122 Imlay Street in order for works to be completed safely in accordance with the ‘NSW Service and Installation rules’.
Applicant’s Review Request: We are advised that the existing electricity servicing No. 122 Imlay St is, (subject to survey), located across the adjoining southern property at No.118 Imlay Street (the motel), and not our client’s property. Further, and in any event, it is unreasonable to require our client to pay for the cost of moving electricity services for another property. This is a requirement for the Ausgrid to rectify or the owner of 122 Imlay Street. Imposition of condition No. 17 is unreasonable, has no planning nexus with the development, and we seek for it to be deleted.
Staff Review Comments: It is noted that the original assessment identified site conditions including the location of a power pole located within the site and a powerline running along the western boundary of the site (see photos below from site inspection detailing power pole location).
The review application was referred to Essential Energy (not Ausgrid) as the plans submitted in the application highlights a power pole located within the site as per their detailed plan. Consultation with Essential Energy is a requirement under Section 2.48 Determination of development applications of the State Environmental Planning Policy (Transport and Infrastructure) 2021.
The provision of Condition 17 is to ensure safety of the development in association with the existing electricity infrastructure on-site. Correspondence provided to Council from Essential Energy indicated that the requirement for relocation of the electricity infrastructure is required however further information has been provided by the Applicant indicating that discussions are ongoing with Essential Energy, which may include the infrastructure being rectified by the electricity service provider. To enable the application to be determined, staff recommend Condition 17 be amended as follows:
Power infrastructure must be relocated
The applicant is to provide written evidence from Essential Energy that no safety concerns remain in relation to location of electricity infrastructure. Alternatively, a Level 2 Accredited Service Provider (ASP) will be required to move the existing service that cuts through the subject land to service 122 Imlay Street in order for works to be completed safely in accordance with the ‘NSW Service and Installation rules’.
Note: All required works must be completed prior to the issue of an Occupation Certificate for the dwelling.

Figure 2 Electricity infrastructure location
Condition 29. Occupation Certificate for the entirety of the development must be obtained
The existing Condition reads as follows:
An Occupation Certificate must be issued by the Principal Certifying Authority for the commercial premises prior to occupation of the dwelling. In issuing an Occupation Certificate, the Principal Certifying Authority must be satisfied that the requirements of Section 6.9 of the Environmental Planning and Assessment Act 1997 have been satisfied.
If you have obtained an Occupation Certificate that only covers part of the development a further Occupation Certificate for the whole development must be obtained within 5 years of the partial Occupation Certificate being issued.
Applicant’s Review Request: As Council is aware, requiring the owner to vacate the premises until the commercial unit has reached occupation certificate will render her homeless. As a practical compromise, we seek to amend Condition 29 by replacing the condition with one that states “If a partial occupation certificate is issued by the Principal Certifying Authority for the dwelling portion of the development only, then an occupation certificate for the balance of the development (being the commercial premises) must be obtained within a further two years.”
Whilst cl 6.11 of the LEP requires the consent authority to be satisfied that the development will be mixed use, condition 29 is overly onerous and unnecessary. There are many ways Council can reach that state of satisfaction. Arguably, simply granting the consent for a mixed use satisfies cl 6.11 (obviating the need for any condition) – especially noting Jonah v Pittwater Council requires a consent authority to assume all conditions would be complied with. Alternatively, cl 53 of the Environmental Planning and Assessment (Development Certification and Fire Safety) Regulation 2021 requires that where a partial OC has been obtained, the OC for the whole building must be obtained within 5 years – thus ensuring the property will be constructed and occupied as a mixed use building.
However, as a compromise, we offer up this condition, to provide Council with comfort and a clearly measurable timeframe for the completion of the development as mixed use. It is clearly not necessary for one part of the development to come before the other, for Council to reach the state of satisfaction that the development will be mixed use – just that ultimately, Council is satisfied both will occur under the consent. The condition as we propose achieves that without imposing the unnecessary, and financially crippling requirement to build the commercial unit before being able to occupy the dwelling.
Staff Review Comments: Post lodgement of the Section 8.2 Review Application, the landowner has requested further time be provided to enable completion of the development. In a letter provided by the landowners town planning consultant (provided at Attachment 3), 5 years is proposed.
It is important to note that a dwelling on this site is only permissible as a mixed use development (hence the commercial element proposed) in order to satisfy the provisions of Clause 6.11 of BVLEP 2013. Given that the applicant now seeks to undertake additional building works to the dwelling portion of the development, staff raise no objection to an amendment to the original condition and propose the condition be amended as follows:
If a partial Occupation Certificate is issued by the Principal Certifying Authority for the dwelling portion of the development only, then an Occupation Certificate for the balance of the development (being the commercial premises) must be obtained within 5 years of the partial Occupation Certificate being issued.
Options
The following options are available to Council, in its consideration of this matter:
1. Approve the Section 8.2 Review of Determination application under Section 8.4 of the Environmental Planning and Assessment Act 1979 subject to the modified conditions of consent as detailed Attachment 1 to this report. This is the recommended option.
2. Defer consideration of the matter and request a separate report identifying any additional relevant matters for consideration and draft reasons to either uphold or alternatively amend the consent as originally granted.
Community and Stakeholder Engagement
Engagement undertaken
The development application was originally notified for a period of 14 days from 27 November 2024 to 11 December 2024. Only one submission was received during this time and was in support of the application.
The Section 8.2 Review of Determination Application did not require further notification as it has only sought reconsideration of several conditions of the development consent.
Engagement planned
No further engagement is planned. The determination will be provided to the applicant and also placed on Council’s DA Enquiry website platform as per Council obligations under the Environmental Planning & Assessment Act 1979 and Regulations 2021.
Financial and Resource Considerations
Assessing proposals for development is part of the regular business of Council and resourcing to undertake this function is included in Council’s adopted budget.Legal /Policy
Appeal rights to the Land and Environment Court are specified under the provisions of the Environmental Planning and Assessment Act 1979.
Impacts on Strategic/Operational/Asset Management Plan/Risk
Strategic Alignment
The development will provide for the housing needs of the landowner within a commercially zoned area that has a range of land uses.
The application is not inconsistent with the Planning Priorities outlined in the Local Strategic Planning Statement 2020 and Residential Land Strategy 2040.
Environment and Climate Change
This Section 8.2 Review of determination, if approved, will not have any additional adverse impacts on the environment or climate change given the sites location.
Economic
The impact of the development on the economy are considered low. It is considered that utilising the site as a mixed use development (commercial development with residential accommodation) within the Eden Commercial zoned area would be the best economic use of the land, as envisaged by the LSPS, Commercial Land Strategy and Residential Land Strategy and therefore the proposed development is suitable.
Risk
The assessment of this Section 8.2 Review of Determination is a core function of Council. There are no material impacts on Council’s operations associated with determination of the proposed development. Any legal appeal would have cost implications to defend Council’s position.
Social / Cultural
This application, if approved, will still improve the housing stock within the Bega Valley that will increase the number of dwellings in Bega Valley that are constructed in a way permitting adaptation for persons with a disability within the Bega Valley Shire and that are located close to the existing commercial and social services of Eden.
1⇩. Notice of Review Determination
2⇩. Original Notice of Determination
3⇩. Applicant's Review Request
|
Item 8.2 |
8.2. Request to Waive Section 7.11 developer contributions for certain approved Secondary Dwelling development applications
This report presents a request to refund and waive s7.11 contributions for a small number of secondary dwellings in line with the intent of the Council resolution from 15 October 2025.
Director Community, Environment and Planning
That Council:
1. Resolves to refund s7.11 fees paid for secondary dwellings approved since the updated Local Infrastructure Contributions Plan came into effect on 4 September 2024 up until the 2 year waiver resolved at the 15 October 2025 Council meeting comes into effect.
2. Resolves to waive s7.11 fees levied (but not yet paid) for secondary dwellings approved since the updated Local Infrastructure Contributions Plan came into effect on 4 September 2024 up until the 2 year waiver resolved at the 15 October 2025 Council meeting comes into effect.
3. Notes the public exhibition period for the 2 year wavier resolved at the October 2025 Council meeting will end on 11 December 2025, and if no objections are received, the 2 year waiver will take effect from 11 December 2025.
4. Notes the changes to s64 water and sewer contributions will not come into effect until the completion of the public exhibition period following the Council resolution from 15 October 2025.
Executive Summary
At the 15 October 2025 Council meeting, Council resolved to waive s7.11 contributions for secondary dwellings for a period of 2 years. Staff have identified a small number of secondary dwellings that have paid, or been levied, s7.11 contributions since the current Local Infrastructure Contributions Plan came into effect on 4 September 2024. Prior to the adoption of this plan, secondary dwellings were not charged s7.11 contributions, as they were specifically exempt under the (now repealed) 2014 Contribution Plan.
To ensure the intent of the Council resolution is enacted in full, this report seeks a Council resolution to refund any s7.11 fees paid on secondary dwellings approved since the current Local Infrastructure Contributions Plan came into effect and before the 2 year waiver comes into effect. This report also seeks to additionally waive Section 7.11 contributions for those applications that were approved since 4 September 2024 and whereby the contributions have not yet been paid.
It is important to note that s7.11 contributions are payable at the time an applicant is seeking a construction certificate. This means that the 2 year waiver resolved in October 2025 applies to s7.11 contributions that would have been payable within the 2 year trial, not necessarily to all DAs issued for secondary dwellings. If, for example, a DA consent is issued for a secondary dwelling but the applicant does not commence construction until after the 2 year trial ends, they will be liable to pay the s7.11 contributions. This is an important clarification as the purpose of the Council resolution is to incentivise the construction of additional secondary dwellings, as yet another lever to address the supply of housing within the Bega Valley Shire.
This report is not seeking to backdate the changes to s64 water and sewer contributions as these have been levied on secondary dwellings for many years. However, once the public exhibition process is complete, any new DA approvals issued for secondary dwellings will levy a maximum of 0.25 ET for water and 0.25 ET for sewer, regardless of the number of bedrooms, as per the Council resolution from 15 October 2025.
Background
Council resolved at its Ordinary Meeting of 15 October 2025 as follows:
|
169/25 |
RESOLVED on the motion of Crs Haggar and Daly That Council 1. Waives section 7.11 contributions on secondary dwellings for an initial period of 2 years. 2. Implements a 2-year trial whereby secondary dwellings are charged s64 contributions at 0.25 ET for water and 0.25 for sewer, regardless of the number of bedrooms. 3. Encourages the community and developers to consider pre‑fabricated and modular housing options, as well as complying development pathways, in suitable locations, with a view to increasing density in our sewered towns and villages. 4. Provides updated information to the community about the different types of housing that can be considered across the shire, including dual occupancies, terraces, town houses, villas, manor houses and rural land sharing, particularly following recent changes Council has made to the enable greater diversity of housing types and density in our sewered towns and villages, and if required, a budget bid be considered by Council as part of the FY27 budget deliberations to support this work. 5. Request the State Government to provide further clarity on the definition of ‘household’ with the intent to have as broader definition as possible. 6. Continues to advocate to the NSW State Government to urgently complete its review of, and update to, the relevant legislation to provide clarity regarding caravans and moveable dwellings. 7. That a report be brought back to council in 21 months’ time outlining the impacts of the motion and that the report be for decision on future continuation. In favour: Crs Daly, Fitzpatrick, Haggar, Mudaliar, Nadin, Noble, O'Neil and Porter Against: Cr Allen |
Following the Council resolution, the necessary communication materials were developed to exhibit the proposed waiver in accordance with the requirements of the Local Government Act 1993. The exhibition period closes on 11 December 2025. If no objections are received, the wavier will the come into effect from that date. If objections are received, a further report to Council may be required.
Since the Local Infrastructure Contributions Plan came into effect on 4 September 2024:
- s7.11 contributions have been paid for 5 secondary dwellings, totalling $45,510
- s7.11 contributions have been levied but not yet paid on an additional 6 secondary dwellings, totalling approximately $57,300
- 3 additional applications for secondary dwellings are under assessment.
However, it is possible that some of the contributions noted above as levied may have been paid by the time this report is considered by the elected Council, or the additional 3 DAs may have been determined. As such, this report seeks Council resolution to refund or waive any s7.11 contributions from 4 September 2024 until the waiver comes into effect.
This report is not seeking to backdate the changes to s64 water and sewer contributions as these have been levied on secondary dwellings for many years and are separately levied in accordance with Council’s Development Servicing Plans. However, once the public exhibition process is complete, any new DA approvals issued for secondary dwellings will include a maximum of 0.25 ET for water and 0.25 ET for sewer, regardless of the number of bedrooms, as per the Council resolution from 15 October 2025.
Options
The options available to Council are:
1. Resolve to refund and waive s7.11 contributions from 4 September 2024 to the date the waiver resolved at the 15 October 2025 Council meeting comes into effect. This aligns with the intent of the resolution and ensures fairness and equity. If no objections are received, it is expected the waiver will come into effect on 11 December 2025.
2. Resolve not to refund or waive s7.11 fees other than those captured by the 15 October 2025 Council resolution. This will result in approximately 11 secondary dwellings having paid or being liable to pay s7.11 contributions since s7.11 contributions for secondary dwellings were introduced on 4 September 2025. Note: At the time of writing this report, 3 additional applications for Secondary Dwellings were under assessment.
3. Resolve to also refund or reduce s64 contributions paid or payable in line with the 15 October 2025 resolution. This would require Councillors to provide a date this refund or reduction would come into effect, noting these contributions have been levied for many years.
Community and Stakeholder Engagement
Engagement undertaken
Following the Council resolution of 15 October 2025, the necessary communication materials were developed to exhibit the proposed waiver in accordance with the requirements of the Local Government Act 1993. The exhibition period closes on 11 December 2025. If no objections are received, the wavier will the come into effect. If objections are received, a further report to Council may be required.
A media release was issued on 13 November 2025 informing the community of the proposed changes and public exhibition process: Council supports new measures to boost local housing options - Bega Valley Shire Council
At least one applicant and one development professional has contacted Council to confirm if the waiver will extend to DAs for secondary dwellings approved after the adoption of the current infrastructure contributions plan and before the waiver comes into effect at the conclusion of the public exhibition process. Staff have advised those customers that the matter will be reported to Council for determination.
Engagement planned
The development professionals group and applicants of any DAs for secondary dwellings approved since the new Infrastructure Contributions Plan came into effect on 4 September 2024 will be informed of the Council decision and arrangements put in place to refund or waive their contribution amounts pending the Council resolution.
Financial and Resource Considerations
Refunding or waiving fees reduces the amount of income generated by Council.
Council’s fees and charges provide the following amounts for s7.11 contributions as at 1 July 2025:
|
Section 7.11 contributions |
Amount |
|
Residential accommodation – additional 0-1 bed dwelling |
$9,595.29 |
|
Residential accommodation – additional 2 bed dwelling |
$11,320.57 |
|
Residential accommodation – additional 3+ bed dwelling |
$16,842.52 |
In this case, refunding or waiving s7.11 fees for the 11 DAs for secondary dwellings that have paid or levied will amount to approximately $102,810.
Importantly, Council has already resolved to waive s7.11 contributions for secondary dwellings for a period of 2 years. Extending this resolution to include DAs for secondary dwellings that have paid or levied s7.11 contributions since they were introduced in September 2024 will have a modest financial impact on Council, noting it is not yet known what the take up of the 2 year waiver will be.
Legal /Policy
Council is able to waive or refund fees and charges under the Local Government Act 1993 pending a resolution of Council.
Impacts on Strategic/Operational/Asset Management Plan/Risk
Strategic Alignment
This request to refund or waive s7.11 developer contributions aligns with Council’s Community Strategic Plan 2042 (2025 Revision):
Theme: Our Community
Strategic Objective: Our shire is a safe and affordable place to live.
Strategy A.8: Support opportunities for provision of diverse and affordable housing.
Environment and Climate Change
There are no direct environmental impacts associated with this proposal.
Economic
Refunding s7.11 contributions already paid or levied on secondary dwellings since 4 September 2024 supports the provision of diverse and affordable housing.
Risk
Refunding s7.11 contributions already paid for secondary dwellings between 4 September 2024 and the date the 15 October 2025 Council resolution comes into effect is considered low risk noting the small amount of refunds necessary and noting it is in line with the intent of the Council resolution from 15 October 2025.
Social / Cultural
The Bega Valley is in the midst of a housing shortage. Providing financial incentives, through fee refunds or waivers, is one way Council may be able to incentivise the construction of secondary dwellings which will increase the number of homes in the Bega Valley.
Attachments
Nil
|
Item 8.3 |
8.3. Review of Procedure Dangerous and Menacing Dog Declaration Appeals and Revocation
Staff have reviewed existing Procedure 4.04.07 Dangerous and Menacing Dog Declaration Appeals and Revocation and is seeking endorsement of two new procedures in its place.
Director Community Environment and Planning
That Council:
1. Endorse the ‘DRAFT Procedure 4.04.08 Evaluation of Owner Representations Against a Notice to Declare a Dog Dangerous or Menacing’ at Attachment 1 for public exhibition.
2. Endorse ‘DRAFT Procedure 4.04.09 Evaluation of Applications to Revoke Dangerous or Menacing Dog Declarations’ at Attachment 2 for public exhibition.
2. Resolve to place the draft procedures on public exhibition in February 2026 for a minimum of 28 days with submissions open for 42 days.
3. Note that a further report will be presented to Council if any significant changes are proposed following public exhibition, or if no significant changes are proposed, the exhibited procedures will be considered adopted and published on the Council website.
4. Revoke the currently adopted ‘Procedure 4.04.07 Dangerous and Menacing Dog Declaration Appeals and Revocation’ once the two new procedures are adopted.
Executive Summary
Council has a regulatory obligation to enforce laws relating to companion animals and to manage public safety in accordance with relevant legislation.
Staff have reviewed the current Procedure 4.04.07 Dangerous and Menacing Dog Declaration Appeals and Revocation and recommend revoking it and replacing it with 2 new procedures to ensure greater clarity and consistency for the community:
· Procedure 4.04.08 Evaluation of Owner Representations Against a Notice to Declare a Dog Dangerous or Menacing
· Procedure 4.04.09 Evaluation of Applications to Revoke Dangerous or Menacing Dog Declarations
The two proposed procedures outline the framework for evaluating applications in accordance with relevant legislation. They establish clear criteria and processes to ensure decisions are consistent, transparent and prioritise community safety. The procedures support fair consideration of applications while maintaining compliance with statutory requirements.
The proposed new procedures are ready for public exhibition and feedback, pending Council endorsement.
The currently adopted Procedure 4.04.07 Dangerous and Menacing Dog Declaration Appeals and Revocation can viewed on Council’s website: bega.pulsesoftware.com/Pulse/Public.aspx?page=publicpolicies
Background
Under the Companion Animals Act 1998 and the Local Government Act 1993, authorised officers have the power to declare a dog as menacing or dangerous. These Acts also allow councils to delegate the authority to revoke such declarations to the General Manager, who may further sub-delegate this function to appropriate staff.
Current best practice recommends that councils maintain clear policies outlining who holds this authority and how applications and owner representations are assessed. This process is significantly different to issuing a declaration. For example, issuing declarations involves evaluating risk and public safety concerns, while revocation considers factors such as the dog’s current behaviour, training and any professional assessments. Separating these procedures will provide greater transparency, improve decision-making, and ensure alignment with community expectations.
Council staff have reviewed the current procedure and recommend a significant update to provide greater clarity and transparency in relation to how these applications are assessed across the shire, as outlined in this report.
The proposed procedures describe the standards for operational duties, functions and responsibilities of Council staff involved in regulatory services associated with companion animal management in the Bega Valley Shire.
The aim of the procedures is to provide a clear and lawful framework and establish fair, impartial and equitable guidelines, in line with Council’s Customer Service Charter, for evaluating the merits of applications to revoke dangerous or menacing dog declarations or not proceed with the issuance of the declaration.
Options
Council can resolve to place the proposed updated procedures on public exhibition and, if no significant changes are recommended, adopt the procedures and revoke the current procedure without a further report to Council. This is the recommended option.
Alternatively, Council can resolve to continue with the current procedure or advise staff on additional content to be included. Any additional inclusions will need to be reviewed by staff to ensure they are consistent with the legislation. It is not recommended to continue with the current procedure as the proposed changes aim to provide greater clarity and transparency for the community.
Community and Stakeholder Engagement
Engagement undertaken
At the 21 May Council meeting, Councillors resolved to review and workshop the underlying Procedure 4.04.07 Dangerous and Menacing Dog Declaration Appeals and Revocation.
A Councillor workshop was subsequently held on 6 August 2025 as per the Council resolution.
Staff subsequently reviewed the draft dangerous or menacing dog declaration revocation procedure in detail, along with feedback received from Councillors.
A second Councillor workshop was held on 29 October 2025 to present the proposed new procedures and discuss the recommended changes with Councillors.
Engagement planned
Pending the Council resolution, the draft procedures will be placed on public exhibition and will be open for comment for 42 days. The consultation period will be promoted through Council’s website, a media release and social media channels. This will occur in February 2026 to avoid the busy summer period where the community may have limited opportunities to provide feedback.
If any significant changes are proposed following public exhibition, a further report will be provided to Council. If no significant changes are proposed, the exhibited procedures will be considered adopted and published on Council’s website. The current procedure will also be revoked at that time.
Financial and Resource Considerations
There are no new financial or resource implications as a result of the recommendations in this report. Reviewing procedures and placing any changes on public exhibition is a regular part of Council business.
Legal /Policy
Relevant legislation includes:
· Companion Animal Act 1998
· Fines Act 1996
· Privacy and Personal Information Protection Act 1998 NSW
· Evidence Act 1995
· Interpretation Act 1987
· Local Government Act 1993
The authorising policy for this supporting procedure is Policy 4.04 Companion Animal Management.
Impacts on Strategic/Operational/Asset Management Plan/Risk
Strategic Alignment
Community safety is a core responsibility of Council and a key priority identified in our strategic planning framework. It underpins our vision for a vibrant, enjoyable, and safe place to live. The Ranger Services team protects the amenity and safety of the community in relation to companion animals, in accordance with Council’s policies and relevant legislation including the Companion Animals Act 1998 and Local Government Act 1993.
The recommendations of this report align with the following theme from the Bega Valley Community Strategic Plan 2042 (2025 revision):
CSP THEME: Our community – A connected and vibrant community where people are happy, safe and well.
A8.3: Provide compliance services that protect the amenity and safety of the community.
Environment and Climate Change
There are no environmental or climate change considerations associated with the recommendations of this report.
Economic
There are no economic implications associated with the recommendations of this report.
Risk
The evaluation of applications to revoke dangerous or menacing dog declarations is part of the regular business of Council and does not introduce any new organisational risks.
A transparent and consistent approach to issuing and revoking declarations ensures responsible pet ownership and reduces the risks associated with dangerous or menacing dogs in the community.
Social / Cultural
Effective compliance management of applications to revoke dangerous or menacing dog declarations within the Bega Valley Shire will improve community safety and confidence in Council’s regulatory processes. A transparent and consistent approach ensures responsible pet ownership and reduces risks associated with dangerous or menacing dogs. This is likely to increase community satisfaction and support a safer environment for residents and visitors.
The implementation of the proposed new procedures will provide positive community and operational impacts by ensuring a fair and transparent process. This promotes confidence in Council’s regulatory framework and supports responsible pet ownership, which contributes to public safety and community wellbeing.
Attachments
1⇩. 2025.12.10 D25 93650 DRAFT New Procedure 04.04.08 Evaluation of Owner Representations Against a Notice of Intention to Declare a Dog Dangerous or Menacing
2⇩. 2025.12.10 D25 93655 DRAFT New Procedure 04.04.09 Evaluation of Requests to Revoke Dangerous or Menacing Dog Declarations
|
10 December 2025 |
|
|
Item 8.3 - Attachment 1 |
2025.12.10 D25 93650 DRAFT New Procedure 04.04.08 Evaluation of Owner Representations Against a Notice of Intention to Declare a Dog Dangerous or Menacing |

|
10 December 2025 |
|
|
Item 8.3 - Attachment 2 |
2025.12.10 D25 93655 DRAFT New Procedure 04.04.09 Evaluation of Requests to Revoke Dangerous or Menacing Dog Declarations |

|
Item 8.4 |
8.4. Review of Procedure 4.04.06 Companion Animal Control Areas
This report seeks Council resolution to exhibit the updated Procedure 4.04.06 Companion Animal Control Areas following community consultation.
Director Community Environment and Planning
That Council:
1. Resolve to place the draft updated procedure 4.04.06 Companion Animal Control Areas at Attachment 1 on public exhibition for a minimum of 28 days with submissions open for 42 days.
2. Note that a further report will be presented to Council if any significant changes are proposed following public exhibition, or if no significant changes are proposed, the exhibited procedure will be considered adopted and published on the Council website.
Executive Summary
Council is required by legislation to provide at least one dog off leash area within the shire. Bega Valley Shire Council is fortunate to offer significantly more than this minimum requirement, with approximately 15 designated off-leash areas currently available. Outside these areas, and beyond private property boundaries, dogs must be kept on a leash in accordance with the Companion Animals Act 1998 to ensure public safety and environmental protection.
To ensure that off-leash areas meet the needs of residents while balancing environmental and safety considerations, Council staff conducted a review of all designated dog off-leash and dog-prohibited areas across the shire.
Following this review, several changes are recommended to Procedure 4.04.06 – Companion Animal Control Areas, taking into account accessibility, estimated user numbers, and overall functionality. The proposed changes are detailed in the body of this report.
This report seeks Council resolution to place the updated draft procedure on public exhibition.
Background
Council has a regulatory obligation to enforce laws relating to the management of companion animals and to ensure public safety, environmental sensitivity, and animal welfare in accordance with relevant legislation. As part of meeting these obligations, a comprehensive review of current Companion Animal Control Areas was undertaken to confirm that all designated off-leash and prohibited areas align with the legislative framework. Particular attention was given to locations with high volumes of people and animal activity to ensure these areas are safe, functional, and environmentally appropriate.
Procedure 4.04.06 Companion Animal Control Areas identifies the designated off-leash and dog prohibited areas as adopted by Council, and describes the standards for the operational duties, functions and responsibilities of Council staff involved in all regulatory services associated with companion animal management in the Bega Valley Shire.
This procedure has been reviewed and a number of significant changes proposed. The procedure is available at Attachment 1 with track changes to the text, however please note that the maps section is NOT in track changes to aid readability.
A summary of the changes is included below.
Administrative changes
A number of changes to the procedure have been proposed to ensure greater clarity. These changes have not changed the intent of the procedure.
Changes to current areas
Two areas in the existing procedure are proposed to be changed, as follows:
Bar Beach, Merimbula
The time-shared off-leash area in front of the Bar Beach Kiosk will be removed and revert to on-leash. During summer, this location is already prohibited as it is a designated Public Bathing Area (PBA), and food preparation/consumption zones remain prohibited year-round.
Reasons for Change:
· Safety Risks: Small area with high family use increases potential unsafe interactions between dogs and children.
· Legislative Compliance: Summer PBA with lifesavers triggers a 100m dog exclusion under the NSW Companion Animals Act.
· Hygiene Requirements: Dogs are prohibited near food preparation and consumption areas under the Act.
Spencer Park foreshore and tidal sandspit
The entire foreshore and tidal sandspit will become dog prohibited due to high public use and environmental sensitivity.
New off-leash areas
Six new off-leash areas are proposed, as follows:
Berrambool Sports Complex – This area will be a restricted off-leash area and cannot be used when the AFL sports field has been booked and is being used for either training or a match. The designated area is located at the southern end of the AFL field, between the boundary fence outside the sports field to the tree line near the creek, and from the gate to the first light pole to the east.
Evans Park Kalaru – This designated off-leash area is defined by the following boundaries:
- Northern Boundary: Rear of the private properties along Strathmore Crescent
- Western Boundary: Rear of properties accessed via Tathra Road
- Eastern Boundary: Property accessed from Tathra Road
- Southern Boundary: Tathra Road.
Dogs must stay away from the children's play area and all food preparation/consumption areas.
Chaz Izzards Park Tathra – This designated off-leash area is defined by the boundary fence between Francis Hollis Drive and the rear of the private properties. Dogs must not be left unattended inside the fenced area and must be under control by a competent person.
Wolumla Sporting and Show Ground Dog Obedience Area – This is a restricted off-leash area and cannot be used when the location has been booked and is being used for dog training classes. The designated area is defined as the dog training area which is suitably fenced and is located at the southern end of the site, just outside the sports fields.
Lions Park, Bega – This is a restricted off-leash area and cannot be used when the location has been booked and is being used for dog training classes. The designated area is defined by the following boundaries:
- Eastern Boundary: Ravenswood Street
- Northern Boundary: Fairview Street entry
- Western Boundary: Rear of Properties accessed from Ravenswood Street
- Southern Boundary: Side of units accessed from Ravenswood Street.
Dolphin Cove – The designated off-leash area is defined as the sand area between the tree line and the ocean for a length of 300 metres from the rocks at the southern end of the cove. NOTE: There is a buffer between the Off Leash area and the National Park boundary of 100 metres due to National Parks being dog prohibited.
Options
Council can resolve to place the proposed updated procedure on public exhibition and, if no significant changes are recommended, adopt the procedure without a further report to Council. This is the recommended option.
Alternatively, Council can resolve to continue with the current procedure or advise staff on additional content to be included. It is not recommended to continue with the current procedure as the proposed changes aim to provide greater clarity and transparency for the community.
Community and Stakeholder Engagement
Engagement undertaken
An electronic survey was conducted from September 2024 to February 2025. The survey received 935 responses, which were reviewed and considered by staff before assessing the current procedure to ensure it remains aligned with community needs and expectations.
A Councillor workshop was held on 30 April 2025 to provide the results from the companion animal survey to Councillors. A second Councillor workshop was held on 29 October 2025 to discuss the recommended changes to the current Companion Animal Control Areas.
Engagement planned
Pending the Council resolution, the draft procedure will be placed on public exhibition for 42 days and promoted through the Council website, a media release, social media channels and Council newsletter. This will occur in February to avoid the summer holidays when many in the community are on holidays or may not have an opportunity to participate in consultation.
Pending Council resolution, if any significant changes are proposed following public exhibition, a further report will be provided to Council. If no significant changes are proposed, the exhibited procedure will be considered adopted and published on Council’s website. Further communication will be undertaken to ensure community members are aware of the updated companion animal areas across the shire.
Financial and Resource Considerations
There are minimal costs associated with the updates to the Procedure, however some new signage will be required. It is anticipated this cost would be under $5,000 including creation and installation and will be funded from the existing operational budget allocation for companion animals.
Legal /Policy
Relevant legislation includes:
· Companion Animals Act 1998
· Local Government Act 1993
· Fines Act 1996
· Privacy and Personal Information Protection Act 1998 NSW
· Evidence Act 1995
The authorising policy for this supporting procedure is 4.04 Companion Animal Management.
Impacts on Strategic/Operational/Asset Management Plan/Risk
Strategic Alignment
Review and adoption of the updated draft procedure 4.04.06 Companion Animal Control Areas aligns with the following elements of the Community Strategic Plan 2042 (2025 revision):
CSP THEME: Our community – A connected and vibrant community where people are happy, safe and well.
A8.3 – Provide compliance services that protect the amenity and safety of the community.
Environment and Climate Change
There are no new environmental or climate change considerations associated with the recommendations of this report However, environmental impacts remain a key factor when making any changes to designated dog off-leash or dog-prohibited areas, including consultation with and recommendations from key stakeholders. National Parks and Wildlife Service were informed of the community consultation and provided a submission which was considered when reviewing the off-leash areas. The submission is attached for reference at Attachment 2.
Economic
There are no economic implications associated with the recommendations of this report; however, the enforcement of companion animal regulations in the shire’s towns and villages can provide a positive community impact by promoting responsible pet ownership and improving public safety. This helps reduce incidents involving roaming or uncontrolled animals, which in turn enhances amenity, reduces potential harm, and supports a safer environment for residents and visitors.
Risk
Companion animal compliance is part of the regular business of Council and does not introduce any new organisational risks. Risk to the environment has been carefully considered in relation to proposed off leash areas.
Social / Cultural
Effective compliance management of companion animal regulations within the Bega Valley Shire will promote responsible pet ownership and enhance community safety and amenity. By reducing issues such as roaming animals, aggressive behaviour and noise complaints, the shire can foster a more harmonious environment for residents and visitors. This contributes to a positive social and cultural outcome by supporting the wellbeing of both people and animals, encouraging community engagement in pet-friendly spaces, and reinforcing the shire’s reputation as a safe and welcoming destination.
Attachments
1⇩. 2025.12.10 D20 14481 DRAFT Procedure 4.04.06 Companion Animal Control Areas - for review
2⇩. 20251210 4.04.06 attachment - NPWS submission 12.2.2025
|
10 December 2025 |
|
|
Item 8.4 - Attachment 1 |
2025.12.10 D20 14481 DRAFT Procedure 4.04.06 Companion Animal Control Areas - for review |

|
10 December 2025 |
|
|
Item 8.4 - Attachment 2 |
20251210 4.04.06 attachment - NPWS submission 12.2.2025 |

|
Item 8.5 |
8.5. Brighter Futures - request to extend service
The NSW Department of Communities and Justice has again asked Council to extend its Brighter Futures family preservation service to 30 June 2026 to align with their new recommissioning deadline.
Director Community Environment and Planning
1. That Council resolves to extend the service end date of the Brighter Futures family preservation service to 30 June 2026 to align with the Department of Communities and Justice’s (DCJ) new recommissioning deadline.
2. That Council notes this extension is required due to multiple delays with the state government’s recommissioning process and that there is a real risk of a 3+ month service gap in the Bega Valley if Council does not extend its service provision to align with the revised recommissioning date.
3. That Council notes it has extended its service provision deadline previously in response to DCJ requests, and while Council clearly expressed to the state government its decision not to extend any further, the department has not made alternative arrangements.
5. That Council notes the importance of the Brighter Futures family preservation service for the community and the quality of the service provided by Council staff.
Executive Summary
Council resolved on 18 December 2024 to extend Brighter Futures family preservation services to 31 March 2026 to align with the Department of Communities and Justice’s (DCJ) recommissioning timeframe. This was an extension on Council’s original resolution to withdraw by 30 June 2025.
DCJ has now asked Council, along with all other Brighter Futures service providers, to extend service delivery to 30 June 2026 due to further delays with their recommissioning process.
If Council exits service provision on 31 March 2026 as previously resolved, there is a real risk the service will cease to exist in the Bega Valley Shire until the recommissioning process is completed.
Background
Brighter Futures is a family preservation service that works intensively to assist complex and vulnerable families who have come to the attention of child protection services.
On 24 July 2024, Council resolved to withdraw from providing the Brighter Futures family preservation service by 30 June 2025. This date aligned with the Department of Communities Justice’s (DCJ) recommissioning process, which had already been delayed a number of times.
In a letter dated 26 July 2024, Council advised DCJ that it would exit from Brighter Futures service provision by 30 June 2025. Council also advised DCJ that:
Should that date be extended it is unlikely Council will be in a position to extend or renew our contract beyond 30 June 2025.
DCJ subsequently advised Council that the recommissioning process had been delayed by a further 9 months and requested Council extended its service end date to 31 March 2026 to ensure service continuity for participants until new providers were selected and operational under the new (recommissioned) service. On 18 December 2024, Council resolved to extend service provision to this new date, and to put the state government on notice that we were unlikely to be able to accommodate any further extensions.
In line with this resolution, letters from the Mayor were sent to the The Hon Kate Washington MP, Minister for Families and Communities; Mr Michael Tidball, Secretary NSW Department of Communities and Justice; and Dr Michael Holland MP, Member for Bega dated 13 January 2025.
On 20 November 2025, Council received a phone call from DCJ requesting that we extend service provision to 30 June 2026. This was followed up with an email on 21 November 2025, which stated:
As you are aware, Family Preservation contracts have been extended for three months, until 30 June 2026, to ensure a smooth transition during the recommissioning of services. This extension provides providers, families, and staff additional time to prepare for the new service models.
We appreciate that Bega Valley Council has already extended your participation in the program until March 2026. We now request that you consider a further extension to 30 June 2026 to align with the new Families Together framework, which will commence on 1 July 2026. This will allow a smooth transition for families and staff, particularly those who may wish to secure potential employment with the successful Bega Valley Family Preservation provider.
Procurement outcomes for the new FP framework will be communicated in March 2026. This will enable the new provider to begin engagement with your team and staff around transition activities.
Thank you for your consideration, and please contact me if you require any further information. As we move towards the wind-up of the program, … Bega Valley Commissioning and Planning Officer for DCJ will be available in Bega to assist with service closure and transition.
Once again, we thank Bega Valley Shire Council and staff for your work as a Family Preservation provider. You have delivered excellent services to families, and the calibre of your service provision has been outstanding.
Council staff who work in the Brighter Futures team have been planning for the service to end by 31 March 2026. DCJ’s most recent request has been discussed with Council’s current Brighter Futures team and they have all indicated they would be willing and able to continue to work in the service should it be extended to 30 June 2026. Their primary concern is ensuring continuity of the service in the Bega Valley. If Council resolves to extend the service to 30 June 2026, DCJ will be advised that Council’s ability to maintain its contracted case load (19 families) will depend on its ability to resource the team and a flexible approach will be required in the lead up to the new service end date.
If Council resolves to extend service delivery to align with DCJ’s new recommissioning timeline, staff will work with DCJ to ensure clients are transitioned to the new provider in a sensitive and supportive way in collaboration with DCJ.
Options
Council can resolve to:
1. Cease providing the Brighter Futures family preservation services at 31 March 2026 as previously resolved by Council, noting this could result in the service ceasing to be available in the Bega Valley Shire until the recommissioning process is completed.
2. Extend service delivery of the Brighter Futures family preservation service until 30 June 2026 to align with DCJ’s new deadline for the completion of their recommissioning process. Staff have indicated their willingness to support this new timeframe. This is the recommended option to avoid vulnerable families being left without support.
Community and Stakeholder Engagement
Engagement undertaken
This report is coming to Council based on a direct request from DCJ received on Thursday 20 November 2024 via phone call, and followed up via email on Friday 21 November 2025.
This request has been discussed with Council’s current Brighter Futures team and they have all indicated they would be willing and able to continue to work in the service should it be extended to 30 June 2026. Their primary concern is ensuring continuity of the service in the Bega Valley.
Engagement planned
Following Council’s resolution, staff will advise DCJ of the outcome and ensure staff are supported to implement Council’s decision. If Council resolves to extend the service, clients will be informed of the new end date by their case manager through their usual communication channels (for example, face to face during a pre-arranged session). Staff will work with DCJ to ensure clients are transitioned to the new provider in line with the new recommissioning timeframe, in a sensitive and supportive way in collaboration with DCJ.
Financial and Resource Considerations
Council currently receives funding from DCJ to provide the Brighter Futures family preservation service. This funding covers salaries for the Brighter Futures team, a contribution to the Manager’s and administration officer’s salaries, rent and vehicle/travel expenses. This funding will be extended should Council resolve to extend the service through a variation to the current funding agreement.
If Council resolve to extend the service to 30 June 2026, this will increase Council’s financial liability for leave however the funding from DCJ covers salaries including leave.
Legal /Policy
If Council resolve to extend service provision until 30 June 2026, a new funding agreement or extension will be signed by DCJ and Council to confirm this commitment.
Impacts on Strategic/Operational/Asset Management Plan/Risk
Strategic Alignment
The provision of the Brighter Futures Family Preservation service aligns with the following BVSC plans:
Community Strategic Plan 2042 (2025 revision):
· Strategy A4: Provide and support aged, disability and community services that enhance people’s quality of life
· Strategy A6: Support our community to build connections and capacity to adapt to challenges
Council’s Policy 1.01 Community Wellbeing prescribes the processes implemented by Council to assist people to meet their aspirations for their community, with particular focus on the inclusion of marginalised and disadvantaged groups. The objective is to provide guidance to Councillors, management and staff in the development, implementation, monitoring and review of effective and efficient processes that improve the wellbeing of the community.
Environment and Climate Change
There are no environmental or climate change impacts of this report.
Economic
The Brighter Futures Family Preservation service provides intensive support to vulnerable families and children who have come to the attention of child protection services. This support can be critical to supporting participants’ social and economic wellbeing.
Risk
If Council resolves to exit service provision at 31 March 2026 as previously resolved, there is a real risk the Brighter Futures service will cease to exist in the Bega Valley Shire until the recommissioning process is complete, creating a gap where vulnerable families and children will be left without support.
Noting that the recommissioning process has been delayed a number of times already, there is a risk it could be further delayed and Council may be asked to extend its service delivery again. However, DCJ has advised this risk is low.
Extending service provision provides an opportunity for existing staff to consider transitioning to the new service provider, along with the families they support. Council’s staff are highly regarded, however a break in service provision may render this unviable.
There are inherent risks in managing the Brighter Futures family preservation service which supports vulnerable families and children at risk of significant harm. Families are referred to the Brighter Futures service by DCJ and risks are regularly assessed. If these escalate during the delivery of the service, families can be referred back to DCJ.
Social / Cultural
The Brighter Futures family preservation service provides intensive support to vulnerable families and children who have come to the attention of child protection services. This support can be critical to supporting participants’ social wellbeing and long-term outcomes for the children engaged in this service. Around 30% of families currently supported through the service identify as Aboriginal and Torres Strait Islander.
Attachments
Nil
|
Item 8.6 |
8.6. Change to Council delegate on the Board of Management of South East Arts and Montreal Goldfields committee
This report seeks Council approval to change the Council delegates on the South East Arts Board and Montreal Goldfields committee.
Director Community Environment and Planning
1. That Council endorse Cr Clair Mudaliar to replace Cr Helen O’Neil as the Councillor representative on the South East Arts Board for the remainder of the current Council term.
2. That Council endorse Cr Helen O’Neil to replace Cr Clair Mudaliar as the Councillor representative on the Montreal Goldfields committee for the remainder of the current Council term.
Executive Summary
At the 9 October 2024 Council meeting, Council resolved to appoint Cr Helen O’Neil as the Councillor representative on the South East Arts Board for this term of Council. Under the Board’s Constitution, membership cannot exceed 6 years. Cr O’Neil has now been on the Board for six years and will need to step down.
Cr Mudaliar has expressed an interest in replacing Cr O’Neil as the Council representative, and Cr O’Neil has offered to replace Cr Mudaliar as the Councillor representative on the Montreal Goldfields Board to support this.
This report seeks a Council resolution to enable this swap in responsibilities to occur.
Background
Section 355 Committees and Advisory Committees
Section 355 Committees and Advisory Committees are established by Council to perform certain functions on behalf of Council. These may include management of assets, performance of services, or joining with other organisations to provide large scale services or projects.
Committees managed by other organisations
A number of organisations request Council involvement in committees that they administer. These committees are generally constituted to seek input into the governance of the organisation, development of policy, planning decisions, or the management of assets and services.
South East Arts
South East Arts (SEA) is the regional arts and cultural development organisation covering the Bega Valley, Eurobodalla and Snowy Monaro local government areas. SEA actively supports the ongoing development of, and participation in, arts and culture throughout the South East region of NSW.
It is supported by artists and art organisations, communities and councils across the operating region. The services in which it provides include the promotion of art events, information and research on artists, audiences, venue and resources regarding funding, sponsorship and donations.
Through a Memorandum of Understanding (MOU), Council works with South East Arts to improve creative arts outcomes, enrich cultural services and programming, grow economic outcomes through the arts sector, and advocate for arts and culture in the region. The current MOU is valid from 2025-2028.
Montreal Goldfields Management Committee
The Montreal Goldfields Management Committee is responsible for the care and management of the Montreal Goldfields site. The committee plays a key role in conserving the environmental and cultural heritage of the site.
Options
Council can resolve to support Cr O’Neil and Cr Mudaliar swapping duties, as recommended in this report.
Alternatively, Council could resolve to appoint a different Councillor to replace Cr O’Neil as the Councillor representative on the Board of South East Arts. This would mean Cr Mudaliar remains as the Councillor representative on the Montreal Goldfields committee unless otherwise resolved by the elected Council.
Community and Stakeholder Engagement
Engagement undertaken
Cr O’Neil and Cr Mudaliar have discussed the approach and requested it be put forward to the elected Council for consideration.
Engagement planned
Pending the Council resolution, the Montreal Goldfields committee and South East Arts will be informed of the change. Crs O’Neil and Mudaliar will be supported by staff to undertake their respective functions.
Financial and Resource Considerations
There are no new financial or resource considerations resulting from the recommendation of this report. Operation of committees is part of the regular business of Council.
Legal /Policy
Section 355 of the Local Government Act 1993 provides that the exercise of certain functions of a Council may be undertaken by a committee of the Council.
Council resolved on 9 October 2024 to establish a number of committees and advisory groups, and appoint Councillors to those committees and groups.
Impacts on Strategic/Operational/Asset Management Plan/Risk
Strategic Alignment
Bega Valley Community Strategic Plan 2042 (2025 revision)
Theme E: Our civic leadership – Local leadership is strong, consultative and responsive to our community’s needs.
CSP Strategy E.1 Lead, govern and regulate in an ethical, equitable, transparent and accountable way
CSP Strategy E.2 The community has opportunities to actively engage and contribute in a timely manner to things that affect their wellbeing using relevant and varied communication channels.
Environment and Climate Change
There are no direct environment or climate change implications associated with the recommendations of this report.
Economic
There are no direct economic implications associated with the recommendations of this report.
Risk
The establishment and operation of committees of Council are part of the regular business of Council. The recommendations of this report do not introduce any new risks to Council.
Social / Cultural
Committees seek to provide a mechanism for interested community members to play an active role in advocating for change at a local level. Committees of Council are an instrument for facilitating open and transparent discussion about decisions made by Council.
Attachments
Nil
|
Council |
10 December 2025 |
Staff Reports – Infrastructure
10 December 2025
9.1 Bega Valley Local Transport Forum 4 November 2025..................................... 169
9.2 Draft Recreation Strategy - Outcome of public exhibition............................... 211
|
Item 9.1 |
9.1. Bega Valley Local Transport Forum 4 November 2025
This report provides the recommendations of the Bega Valley Local Transport Forum (LTF) meeting held on 4 November 2025.
Director Infrastructure
That Council adopt the recommendations of the Bega Valley LTF meeting held on 4 November 2025 as outlined below:
1. Far South Coast National Show 2026, Bega – Friday 27 February – Sunday 1 March 2026
a. That, subject to conditions, the section of roadway adjoining the Bega Showground between East Street and Tathra Road, Bega be temporarily closed each day from 8am to 10pm on 27, 28 February and 1 March 2026 for the Far South Coast National Show.
b. That, subject to conditions, Park Lane and East Street, Bega, between the intersections of Parker Street and Belmore Street be temporarily changed to one-way traffic flow eastbound / southbound from 8am to 10pm on 27, 28 February and 1 March 2026 for the Far South Coast National Show.
c. That, the Traffic Guidance Scheme (TGS) shows exact location for proposed carparking within Elliot Swamp and on-street parking in the case that flooding occurs.
d. That, the TGS includes the pedestrian movement routes to and from the Elliot Swamp carparking area.
e. That, the proposed traffic arrangements for the Far South Coast National Show be deemed a Class 2 special event and it be conducted under an approved Traffic Guidance Scheme, in accordance with Transport for NSW (TfNSW) Traffic Control at Worksites Technical Manual.
f. That, persons involved in the preparation and implementation of the Traffic Guidance Scheme must hold the appropriate SafeWork NSW accreditation.
g. That, organisers fully implement an approved Special Event Transport Management Plan.
h. That, organisers have approved public liability insurance of at least $20 million indemnifying Council, Police and TfNSW by name for the event.
i. That, prior to the event organisers have written approval from the NSW Police Force.
j. That, the event achieves all conditions of Council’s Use of Public Land approval.
k. That, as a prerequisite of road closures, the event organisers must notify all, local and interstate bus services along with local taxi services, emergency services and other affected stakeholders of alternative routes including pick-up/drop-off points, including point to point transport.
l. That, after the event, organisers are to clean up any rubbish or waste left behind
m. Incorporate a Pedestrian Management plan in the TGS to manage pedestrian safely to and from the carpark areas. Also to include queued traffic management.
2. EAT Merimbula – Fishpen - Sunday 8 March 2026
a. That, subject to conditions, Fishpen Road, Merimbula between the intersections of Marine Parade and Calendo Court be temporarily closed between 7am and 4pm on Sunday, 8 March 2026 for the Eat Merimbula Food Festival.
b. That, the proposed traffic arrangements involving the temporary closure of Fishpen Road, Merimbula for the Eat Merimbula Festival on Sunday, 8 March 2026, be deemed a Class 2 special event and it be conducted under an approved and current TGS, in accordance with the SafeWork NSW Guidelines and TfNSW Traffic Control Guidelines.
c. That, the proposed arrangement involving road closures with an on-road assembly, the following is to be included in the TGS to physically obstruct access to the closed road.
i. The road closed (T2-4) sign must be used in conjunction with barrier boards at the start of the site to prohibit general road user access
ii. At least 2 Traffic control vehicles to be used to physically obstruct access to closed roads to supplement delineation devices if delineation devices alone are insufficient.
d. That the event organisers notify affected property owners of changes to road conditions at least one month prior to the event taking place.
e. That persons involved in the preparation and implementation of the TGS must hold the appropriate SafeWork NSW accreditation.
f. That organisers fully implement an approved Special Event Transport Management Plan.
g. That organisers have approved and current public liability insurance of at least $20 million indemnifying Council, Police and TfNSW by name for the event.
h. That prior to the event organisers have written approval from the NSW Police Force.
i. That the event achieves all conditions of Council’s Use of Public Land approval.
j. That, as a prerequisite of road closures, the event organisers must notify all, local and interstate bus services along with local taxi services, emergency services and other affected stakeholders of alternative routes including pick-up/drop-off points, including point to point transport.
k. That after the event, organisers are to clean up any rubbish or waste left behind.
3. Hosies Road, Eden
a. No
Stopping Zone:
Establish an appropriate no stopping length adjacent to the driveway of 9
Hosies Road to improve access and visibility, including another no stopping
sign closer to intersection to close off no stopping area.
b. Parking
Management on Aslings Beach Road:
Instal No Stopping signs at both ends of the parking zone to prevent
obstruction and improve traffic movement.
4. Juno Drive Boydtown – Two round abouts with no regulatory signage
a. Install advance warning signs (W2-7) to alert drivers of the upcoming roundabout.
b. Install roundabout control signs (R1-3) at each entry point.
c. Apply give way line marking at all roundabout approaches to reinforce priority rules.
d. Install uni-directional hazard markers (D4-1-2) to guide traffic safely through the roundabout.
e. All signage and line marking treatments are to be applied on each leg of the roundabout to ensure consistent visibility and safety.
Executive Summary
The LTF is an advisory body incorporating technical review and is not a decision-making committee of Council. LTFs operate under delegation from TfNSW who are responsible for traffic management on all NSW roads. Their role is to advise Council on traffic management matters that relate to prescribed traffic control devices or traffic management facilities for which Council has delegated authority.
It is a requirement for Council to formally adopt the recommendations from the LTF prior to action being taken.
Background
The following submission for Council action was received at the LTF meeting held 4 November 2025
Far South Coast National Show 2026, Bega – Friday 27 February – Sunday 1 March 2026
Council have received a submission from Bega AP & H Society Inc for the Far South Coast National Show (Bega Show) to be held at the Bega Showground on Upper Street from Friday 27 February – Sunday 1 March 2026.
This is a community event featuring pavilion exhibitions, equestrian events, cattle judging, trade displays, entertainment, sideshows, and food vans.
Extra parking has been arranged for overflow.
It has been anticipated that there is expected to be 8000 plus in attendance over the 3 days.
A copy of the submission is attached: “Bega Show 2026”.
EAT Merimbula – Fishpen - Sunday 8 March 2026
A submission has been received from The EAT Fellowship Incorporated, to hold their annual EAT Festival, Merimbula to be held on Sunday 8 March 2026 from 10am to 2pm.
EAT Merimbula is a food festival celebrating local produce and local chef talent within the Sapphire Coast.
EAT Merimbula are in the process of waiting for DA 2025.229 to be approved but have submitted this application in the meantime in case the DA doesn’t get approved in time.
The following recommendations are subject to DA Approval.
A copy of the submission is attached: EAT Merimbula 2026.
Hosies Road, Eden
There has been a request from a resident at Hosies Road, Eden, regarding parking in the service road and vehicles driving the wrong way on Aslings Beach Road.
During a site meeting the customer raised concerns about vehicles parking too close to their driveway, making it difficult to enter and exit. The service road has an approximate width of 4 metres, which limits manoeuvrability when vehicles are parked near driveways.
Aslings Beach Road, which runs parallel to Hosies Road, has been designated as one-way as part of a previous traffic trial. However, we were unable to locate any records of the assessment that led to this arrangement. The road at this section is approximately 6 metres wide, with the current one-way travel lane measuring 3.5 metres.
The resident also raised concerns about vehicles entering Aslings Beach Road from Mitchell Street and travelling in the wrong direction along the one-way section.
The Local Transport Forum discussed all options below:
a. No Stopping Zone:
Establish an appropriate no stopping length adjacent to the driveway of 9
Hosies Road to improve access and visibility.
b. Service
Road Entry Signage:
Install a “Service Road Entry” sign in combination with a “Resident
Access Only” sign at the intersection of Hosies Road and Aslings
Beach Road. (Not supported)
c. Directional
Line Marking:
Provide left and right arrow line markings at the exits from both Hosies
Road and Aslings Beach Road to reinforce correct traffic flow. (Not
supported)
d. Give
Way Control:
Install give way line marking and a Give Way sign at the exit
from Hosies Road to manage vehicle priority and improve safety. (Not
supported)
e. Parking
Management on Aslings Beach Road:
Formalise parking by line marking the bays and installing No Stopping signs
at both ends of the parking zone to prevent obstruction and improve traffic
movement.
The LTF reviewed all of the above options and concluded that the overall cost was high for only a minor benefit. It was agreed that option (a) and part of option (e) offered the best solution.
The No Stopping signage would be installed on Hosies Road at the same distance as the existing power pole—approximately 30 metres from the Aslings Beach Road corner—with an additional sign placed closer to the intersection to clearly define the No Stopping area.
A copy of the signage is attached: “Hosies Road – signage plan.”
Juno Drive Boydtown – Two round abouts with no regulatory signage
An internal request has been received regarding missing line marking and signage at two roundabouts located on Boydtown Park Road and Ben Boyd Parade.
Council has reviewed the Development Application records in Content Manager for the lots adjacent to Boydtown Park Road and Ben Boyd Parade but found no documentation indicating that line marking, or signage requirements for the roundabouts at these locations.
Both Boydtown Park Road and Ben Boyd Parade are Council-maintained roads. Boydtown Park Road provides access to the Seahorse Inn Hotel and residential properties via Juno Drive, which connects through to Ben Boyd Parade.
The roundabouts require line marking and advance warning signage due to safety concerns, particularly during low-light conditions.
A copy of the signage is attached: Juno Drive – Boydtown – Signage review proposal.
Options
1. Accept the recommendations provided by the LTF and resolve accordingly.
2. Reject the recommendations provided by the LTF and resolve accordingly.
3. Resolve on alternate or modified options raised by Councillors.
Community and Stakeholder Engagement
Engagement undertaken
BVSC Drainage and Transport Engineer engaged with resident of Hosies Road, Eden.
Engagement planned
The presentation of this report to Council and the notification of outcomes to relevant stakeholders are the remaining engagement activities planned.
Financial and Resource Considerations
There are no additional financial and resource considerations associated with this report from the above special events.
Recommendations associated with Hosies Road and Juno Drive signage and linemarking arrangements can be funded from existing or future maintenance budget allocations for those activities.Legal /Policy
The legal and policy issues have been addressed through the application of conditions to manage public safety and traffic hazards via the LTF delegation from TfNSW.Impacts on Strategic/Operational/Asset Management Plan/Risk
Strategic Alignment
The recommendations are in line with our road and reserve management policies. The inherent risks associated with the events are mitigated by adherence to the agreed Traffic Guidance Schemes and the stipulations made by the LTF.
Environment and Climate Change
There are minor environmental impacts as a result of event waste management and no climate change implications associated with this report.
Economic
There are a number of positive economic implications associated with this report through increased local consumption of goods and services from increased visitation associated with the proposed special events.Risk
There is a mitigation of traffic and public safety risk by implementing the actions recommended by the LTF.
Social / Cultural
The special event outlined in this report provide important social and economic benefits, by creating opportunities to come together with others and increasing overall well-being for both individuals and communities.
Attachments
1⇩. Bega Show 2026- Special event transport management plan
2⇩. EAT Merimbula 2026- Special event transport management plan
3⇩. Hosies Road -signage plan- final version
4⇩. Juno Drive- Boydtown- signage review proposal
|
10 December 2025 |
|
|
Item 9.1 - Attachment 1 |
Bega Show 2026- Special event transport management plan |

|
10 December 2025 |
|
|
Item 9.1 - Attachment 2 |
EAT Merimbula 2026- Special event transport management plan |

Council 10 December 2025 |
Item 9.2 |
9.2. Draft Recreation Strategy - Outcome of public exhibition
This report provides an overview of feedback received during the recent public exhibition of ‘RecCreate – A Strategy for Recreation in the Bega Valley Shire’ and recommends Council adopt the document with minor amendments as noted in the report.
Director Infrastructure
That the exhibited ‘RecCreate – A Strategy for Recreation in the Bega Valley Shire’ is adopted by Council, with the recommended minor amendments noted in this report.
Executive Summary
Bega Valley Shire Council manages a range of recreation assets across the shire. These include sporting facilities, playgrounds, skate parks, parklands, natural reserves, aquatic facilities, and maritime infrastructure.
At the council meeting on 15 October 20205, Council endorsed the draft document ‘RecCreate - A Strategy for Recreation in the Bega Valley Shire’ (the strategy) for public exhibition. The strategy was exhibited from 16 October to 12 November 2025. A copy of the exhibited document is attached to this report.
The exhibition was publicly notified by media release, BVSC social media notifications and direct email notifications to over four hundred contracts from the initial round of BVSC Recreation Strategy consultation.
Five submissions were received. A summary of these submissions and staff comment and recommendations is attached to this report. The full submissions are available to Councillors at their request.
The strategy will provide the council and the community a document to guide future asset improvement planning and capital works. It outlines how we will plan and assess future projects over the next 10 years. It sets out a key action plan that will generate positive change in our asset makeup and sustainability.
Background
At the Council meeting on 15 October 2025 Council resolved:
1. That the attached draft ‘RecCreate – A Strategy for Recreation in the Bega Valley Shire’ is put on public exhibition for a period of not less than 21 days.
2. That a further report be presented to Council following the public exhibition period, detailing the outcomes of the exhibition and any recommended changes to the draft strategy.
The strategy has been developed to guide the future management, renewal, and provision of Council-managed recreational assets. The project commenced in October 2023 with project planning and consultation.
The project and development of the strategy document included extensive consultation both externally and internally within council staff. This consultation ‘Listening Report’ was workshopped with Councillors and placed council’s website in mid-2024. A further workshop was held with Councillors on 2 April 2025 to go over the development, format, and key directions within the strategy.
The strategy has been written by Parks, Aquatics and Recreation staff and reviewed internally. It was then externally peer reviewed by Xyst, a consultancy specialising in Parks and Recreation strategy development asset management.
The draft ‘RecCreate – A Strategy for Recreation in the Bega Valley Shire’ was put on public exhibition from 16 October 20205 to 12 November 2025. The exhibition period has closed with five submissions received. Copies of the submissions are attached to this report as confidential attachments as they include personal information of the respondents. A summary of the submissions and staff comment and recommendations is also attached to this report. The submissions related to:
· The cost of asset provision, cost of major capital projects, suggestion to rationalise assets, and the BVSC need for and utilisation of external funding.
· Request to prioritise natural areas.
· Female friendly facilities, floodlighting and partnerships / collaboration models with sporting bodies and associations.
· Impacts of dogs on sporting grounds.
· The Quarantine Bay Amenities and Pathways project.
Recommended Amendments
Based on submissions and review of the draft ‘RecCreate – A Strategy for Recreation in the Bega Valley Shire’ the following amendments are recommended to the exhibited strategy.
1. Executive Summary
· Opportunity: Add an executive summary to highlight key elements of the project and the document including:
- Listening Report - Clear reference that community consultation was a key input into the strategy, which is summarised in the Listening Report, and summarise key community insights.
- Planning Principles - The strategy identifies planning principles which are a principal element and will be used for future projects to be considered and assessed against. This gives a consistent method to measure the need and benefit of different projects, which in turn guides prioritisation and investment to deliver good public value outcomes.
- Asset Improvement Plans – Development of Asset Improvement Plans for each asset category is important action directed by the strategy. These will underpin the recreation strategy and provide more detail about specific projects and priorities in each asset category. The aim is to get a consistent approach to asset improvement planning, applying the planning principles, across all recreation assets. For example, the Playgrounds Improvement Plan is in development. There was recently community consultation and a councillor workshop on the development of the plan. That plan will outline a sustainable approach to future playground provision, detailing a playground hierarchy, service standards, development principles, and a future works program. Work is underway at the moment. https://begavalley.nsw.gov.au/community/playground-management-plan
· Why: Councillors and stakeholders often rely on the Executive Summary for a quick understanding of alignment with community input.
2. Listening Report appendix or addendum
· Opportunity: Add a short appendix summarising the Listening Report’s findings or include a hyperlink/reference to the full document.
· Why: This reinforces that the two documents are companion pieces and encourages readers to consult both.
3. Planning Principle – sustainability and cost
· Opportunity: Expand the current federal and state government references to also include collaboration with sporting bodies and other project partners.
· Why: This will reflect and acknowledge other project partnership models that are available to support local users and stakeholders.
4. Key Action – ongoing consultation opportunities.
· Opportunity: Develop and include a key action identifying ongoing opportunities for community consultation; in particular noting the community consultation phase of Asset Improvement Plans, consultation during project concept development, and the role of a Project Working Groups representing key stakeholder groups throughout a project.
· Why: This will reflect and acknowledge the opportunities for ongoing community involvement in development of recreation facilities.
Having a Recreation Strategy reflecting community needs, asset management challenges and future opportunities aligns with Council’s Community Strategic Plan objectives, particularly in managing and improving recreational infrastructure and services. It incorporates broader industry trends, demographic data, and asset management insights to ensure a balanced and sustainable approach to future investment.
Options
1. That the exhibited ‘RecCreate – A Strategy for Recreation in the Bega Valley Shire’ with the recommended minor amendments noted in this report is adopted by Council.
2. That the exhibited ‘RecCreate – A Strategy for Recreation in the Bega Valley Shire’ with the recommended minor amendments noted in this report, additional amendments directed by Council resolution, is adopted by Council.
3. Council does not adopt the ‘RecCreate – A Strategy for Recreation in the Bega Valley Shire’ and council forgoes the benefits of a strategy to help guide future planning, provision and management of Parks, Aquatics and Recreation assets.
Community and Stakeholder Engagement
Over the past two years, the development of ‘RecCreate – A Strategy for Recreation in the Bega Valley Shire’ has been guided by a comprehensive and inclusive consultation process.
The most intensive phase of engagement occurred between May and July 2024, involving both internal staff and the broader community. A Listening Report, compiled in mid-2024, captured feedback from over 450 survey respondents and multiple stakeholder workshops held across the Shire. This input has directly informed the strategy’s priorities and direction. The Listening report was workshopped with Councillors and has then been used as key document informing the strategy.
Engagement undertaken
The development of the strategy has been shaped by a robust and inclusive consultation process, designed to ensure the strategy reflects the diverse needs and aspirations of the community. Engagement activities were conducted across several phases, combining both quantitative and qualitative methods to build a comprehensive understanding of local priorities.
Key engagement activities included:
· Community Survey: Over four hundred responses were received, providing valuable insights into usage patterns, priorities, and perceptions of existing recreational assets.
· Stakeholder Workshops: Held in Eden, Bega, and Bermagui, these sessions engaged representatives from sporting clubs, community groups, schools, and other key stakeholders.
· Internal staff engagement: Workshops and feedback sessions with Council staff helped incorporate operational perspectives and asset management considerations.
· Listening Report: A summary of consultation findings was compiled and presented to Councillors in mid-2024, highlighting key themes and recommendations emerging from the engagement process.
The diversity of user groups involved in the consultation was particularly valuable, offering perspectives across both active and passive recreational spaces.
The consultation process was intentionally designed to be inclusive, transparent, and responsive, so that the draft strategy is grounded in community input and aligned with local values.
The combination of survey data and workshop discussions provided a well-rounded understanding of community needs, asset management, and recreation trends which has informed the development of planning principles and strategic directions underpinning the draft strategy.
The public exhibition of the draft strategy from 16 October 2025 to 12 November 2025 represented the final stage of the consultation process, providing the community with an opportunity to review the draft strategy and offer feedback before the document is finalised and the project is completed. This step allows for any final refinements based on community input.
Public notification of the exhibition of the draft strategy was by a BVSC media release, BVSC social media posts, and email distribution to over four hundred groups and individuals that were notified and involved in the initial community consultation.
Engagement planned
If endorsed a media release and social media post will be issued. That will complete engagement related to the project.
Importantly there will be ongoing opportunities for community input into Parks, Aquatics and Recreation Planning and projects, such as:
· The community consultation phase of Asset Improvement Plans, (recent Playgrounds Improvement Plan as an example)
· Consultation during project concept development,
· The role of a Project Working Groups representing key stakeholder groups during a project, a current example being the Ford Park Pavilion Building project which is underway, and the Quarantine Bay Amenities and Pathways project which is in the early pre-concept information gathering (REF) stage.
Once adopted the strategy will prioritise individual projects through application of the planning principles methodology to provide a consistent framework to assess project benefits and the public value they will deliver.
Financial and Resource Considerations
|
Item |
$ Excl GST |
|
Expenditure Detail |
|
|
Salaries and wages |
$53,007 |
|
Contractor for peer review (purchase order) |
$9,450 |
|
Materials purchased (consultation) |
$219 |
|
Room hire for consultation |
$192 |
|
Total Expenditure |
$62,868 |
|
Source of Funds |
|
|
Recreation SV |
$60,000 |
|
Total income available |
$60,000 |
|
Total Project Cost |
$62,868 |
|
Total Available Funding |
$6,0000 |
|
Project Funding Shortfall |
= -$2,868 |
Financial Option Impacts | Life Cycle Costing
There is no specific project related financial impacts. However, the value in having an adopted strategic plan to guide investment toward projects that are well located, meet the needs of the community, balance provision and are well used for their intended purpose will deliver broad and ongoing benefits in providing facilities that deliver public value.
Legal /Policy
The development of the strategy relates directly to the adopted policy 1.08 Parks, Aquatics and Recreation. The policy states:
Parks, Aquatics and Recreation assets are facilities and items that provide access and amenity to enable people to enjoy the environment we live in and contribute to individual and community health and well-being.
The broad scope of this policy is to see that Council managed Parks, Sportsgrounds, Pools, Playgrounds & Skate Parks, Natural Areas, and Recreational Marine assets are managed, fit for purpose, and deliver the benefits outlined above to the community.
Impacts on Strategic/Operational/Asset Management Plan/Risk
Strategic Alignment
The strategy directly supports the goals of the Bega Valley Community Strategic Plan:
Section D: Our Infrastructure, D.3 Plan and provide for improved access to community facilities and leisure and recreation assets that will meet current and future needs.
It also aligns with Council’s Delivery Program and Operational Plan by identifying priority projects and guiding future investment in recreational infrastructure.
By establishing clear planning principles and strategic directions, the strategy provides a framework for decision-making that supports long-term community wellbeing, sustainable asset management, and public value.
Environment and Climate Change
Ecological outcomes: The strategy acknowledges and values nature-based recreation and low-impact infrastructure to protect sensitive environments. It encourages biodiversity-friendly design and supports active transport to reduce vehicle reliance.
Resource efficiency – water and energy: The strategy acknowledges water-sensitive urban design, efficient irrigation, and drought-tolerant landscaping help reduce water use. Solar lighting, energy-efficient fittings, and smart controls support clean energy goals and lower emissions.
Intergenerational equity: Long-term planning ensures recreational assets remain sustainable and relevant for future generations, reflecting community values and adapting to demographic change.
Alignment with council plans: The strategy aligns with council’s Clean Energy and Climate Resilience Plans by enhancing green infrastructure, promoting low-emission design, and creating inclusive, climate-resilient public spaces.
Economic
Local investment and jobs: Priority projects attract investment and create jobs in construction, maintenance, and services.
Tourism boost: Enhanced recreational assets increase visitor appeal and support local businesses.
Grant funding: A clear strategy improves opportunities to access external funding, reducing reliance on general fund revenue and ratepayers.
Lower maintenance costs: Renewing, adjusting provision and rationalising assets reduces long-term upkeep on lower use assets and focuses resources on well used facilities, delivering ‘public value.’
Community wellbeing: Quality spaces support health, connection, and resilience—delivering long-term social and economic benefits.
Risk
Community alignment risk: The strategy embeds inclusive engagement and long-term planning to ensure recreational investments reflect community values and future needs, reducing reputational and service delivery risks.
Financial sustainability risk: By focusing on asset renewal and provision adjustments, the strategy looks to lower long-term maintenance costs and improves access to external funding, reducing financial pressure on Council and ratepayers.
Infrastructure performance risk: Strategic prioritisation of high-value, well-used assets improves service delivery and ‘public value’ and reduces the risk of underutilised or deteriorating infrastructure.
Environmental and climate risk: Nature-based recreation, low-impact design, and alignment with council’s clean energy and climate resilience plans help mitigate environmental risks and support sustainability goals.
Economic development risk: The strategy identifies projects that stimulate local investment and tourism, strengthening regional economic resilience and employment opportunities.
Governance and planning risk: Application of council’s Project Delivery and Risk Management Frameworks ensures consistent decision-making, accountability, and alignment with broader strategic objectives.
Social / Cultural
Facilities such as parks, playgrounds, and sports fields, skateparks and swimming pools serve as gathering places that support social wellbeing, intergenerational engagement, and informal community networks. The strategy will support social cohesion by promoting inclusive, accessible, and well-planned recreational spaces and facilities that encourage community interaction.
Through extensive community consultation and participatory planning, the strategy ensures that diverse voices—including youth, older adults, people with disabilities, and culturally diverse groups—are reflected in the design and prioritisation of recreational assets. This supports social equity and sees that all residents have the opportunity to participate in active and passive recreation.
By promoting active recreation and access to nature, the strategy contributes to improved physical and mental health outcomes. This has long-term social benefits, including reduced healthcare costs, increased productivity, and enhanced quality of life.
The strategy also supports the development of spaces that reflect the unique character of Bega Valley’s towns and villages. This includes opportunities for public art, community-led design, and places to hold events that celebrate local culture and foster pride of place.
Attachments
1⇩. Exhibited RecCreate - A recreation strategy for the Bega Valley Shire
2⇩. Summary draft Recreation Strategy exhibition feedback
|
10 December 2025 |
|
|
Item 9.2 - Attachment 1 |
Exhibited RecCreate - A recreation strategy for the Bega Valley Shire |

|
Council |
10 December 2025 |
Staff Reports – Organisational Services
10 December 2025
10.1 Code of Conduct Statistical Reporting 2024/2025............................................ 270
10.2 Proposed temporary licence at Dickinsons Recreation Reserve in Bermagui.. 276
10.3 Proposed transfer of tenure: Eden Scouts Hall to Eden Men’s Shed................ 299
10.4 Notice of liquidation of Playability Eden and proposed new licence to Tulgeen 305
10.5 Licence Agreements - Old Merimbula School Site............................................ 310
10.6 Certificate of Investment November 2025....................................................... 333
|
Item 10.1 |
10.1. Code of Conduct Statistical Reporting 2024/2025
Council is required to report Code of Conduct statistics to the Office of Local Government (OLG) each year.
Director Organisational Services
1. That Council receive and note the report to the Office of Local Government regarding Code of Conduct statistics for the period 1 September 2024 through until 30 August 2025.
2. That Council submit the return on code of conduct statistics to the Office of Local Government.
Executive Summary
Council is required to publish annual statistics on Code of Conduct complaints received that concern the Councillors and the Chief Executive Officer (CEO). The information must be reported to the Office of Local Government (OLG) in a designated format for the period between 1 September through until 30 August each year. This report provides an overview of the number of code of conduct complaints made during the 2024/2025 period.
Council received four (4) code of conduct complaints relating to councillors during the reporting period. Three complaints were resolved by alternative means and 1 was referred to a conduct reviewer for preliminary assessment. The preliminary assessment found that the complaint did not require an investigation and was referred back to the CEO.
Background
Part 11 of the Procedures for Administration of the Model Code of Conduct requires Council to provide the following information:
Part 11 Reporting on Complaints Statistics
12.1 The complaints coordinator must arrange for the following statistics to be reported to the council within 3 months of the end of September of each year:
a. the total number of code of conduct complaints made about councillors and the general manager under the code of conduct in the year to September (the reporting period)
b. the number of code of conduct complaints referred to a conduct reviewer during the reporting period
c. the number of code of conduct complaints finalised by a conduct reviewer at the preliminary assessment stage and the outcome of those complaints
d. the number of code of conduct complaints investigated by a conduct reviewer during the reporting period
e. without identifying particular matters, the outcome of investigations completed under these procedures during the reporting period
f. the number of matters reviewed by the Office and, without identifying particular matters, the outcome of the reviews and
g. the total cost of dealing with code of conduct complaints made about councillors and the general manager in the year reporting period, including staff costs.
11.2 The council is to provide the Division with a report containing the statistics referred to in clause 11.1 within 3 months of the end of September of each year.
Following this report being presented to Council, the Complaints Coordinator will lodge the return to the Office of Local Government as required under the Model Code of Conduct.
Options
There are no options provided for this report. The annual report is prepared to meet legislative requirements and presented for noting by Councillors.
Community and Stakeholder Engagement
Engagement undertaken
There has been no community or stakeholder engagement undertaken for this report, or to prepare the statistics being presented to the Office of Local Government.
Engagement planned
There is no community or stakeholder engagement required for this administrative reporting process.
Financial and Resource Considerations
The cost to Council of Code of Conduct complaints processed in the 2024-25 Financial year has been valued at $11,115.75. This does not include administrative costs of processing and recording information relating to code of conduct matters. These are included in Council’s general fund budget as wages for staff with responsibilities in the Directorate of Organisational Services.
Legal /Policy
As required by the Procedures for the Administration of the Model Code of Conduct (the Procedures), Bega Valley Shire Council will submit its return on code of conduct statistics to the OLG on 11 December 2025, being the day after the recommendations of this report are considered by Council.
Impacts on Strategic/Operational/Asset Management Plan/Risk
Strategic Alignment
This report aligns with the objectives outlined in Council’s Delivery Program 2025–2029, specifically under the theme of Leadership and Governance, which commits Council to maintaining transparency, accountability, and compliance with statutory obligations.
By reporting Code of Conduct complaint statistics to the Office of Local Government, Council demonstrates its commitment to:
· Good governance and ethical leadership - ensuring decisions and actions are consistent with legislative requirements and the Model Code of Conduct.
· Organisational integrity and risk management - providing oversight and reporting mechanisms that safeguard Council’s reputation and promote public trust.
· Continuous improvement in corporate services - supporting a culture of accountability and procedural fairness in complaint handling.
This annual reporting process is a key control measure within Council’s governance framework and contributes to achieving the Delivery Program outcome of “A trusted, transparent and responsive organisation”.
Environment and Climate Change
There are no environmental and climate change impacts related to the recommendations of this report.
Economic
The Procedures have several economic impacts on council operations. This includes the administration and investigation of complaints require significant staff time and resources, such as appointment of complaints coordinators, conduct reviewers, and the preparation of reports and documentation. This can result in increased operational costs, particularly if complaints are frequent or complex.
Additionally, if complaints are not managed efficiently, there may be indirect costs such as reduced staff productivity, legal expenses, and potential reputational damage that could affect council funding or stakeholder relationships.
This annual report demonstrates that for the 2024/2025 reporting year, the Chief Executive Officer has effectively managed code of conduct complaints in accordance with the provisions of the Procedures to reduce the need for costly investigations, improve workplace culture, and enhance public trust.
Risk
Reporting publicly on code of conduct complaints provides the community with information about the activities related to the adopted code of conduct relating to councillors and the Chief Executive Officer.
Risks, include the potential for vexatious complaints, breaches of confidentiality, and negative impacts on staff morale or council reputation if complaints are not handled appropriately. To mitigate these risks and maximise benefits, it is essential that all complaints are managed in accordance with the prescribed procedures, with a strong focus on confidentiality, fairness, and transparency throughout the process.
This annual reporting demonstrates, without identifying individual cases, that when Council receives complaints, they are dealt with appropriately. This administrative reporting process provides a control mechanism for management of reputational risk of Council.
Social / Cultural
The administration of code of conduct complaints delivers important social benefits by promoting ethical behaviour, accountability, and public trust in council operations. Effective complaint management supports procedural fairness and protects individuals, while offering constructive resolution options such as mediation and training.
Attachments
1⇩. Code of Conduct Statistics Report 2024 2025
|
Item 10.2 |
10.2. Proposed temporary licence at Dickinsons Recreation Reserve in Bermagui
This report seeks Council approval to proceed with a licence to Luke Axisa trading as Good Sauna Australia for the operation of a mobile sauna at Dickinsons Recreation Reserve, Bermagui following a public advertisement process.
Director Organisational Services
1. That Council as Crown Land Manager of Part Lot 7034 DP 1118743 (Dickinsons Recreation Reserve, Bermagui) approves a one (1) year licence to Luke Axisa trading as Good Sauna Australia for the purpose of operating a mobile sauna in accordance with the adopted fees and charges.
2. That the Chief Executive Officer be authorised to execute the necessary documentation to formalise the above course of action.
Executive Summary
Council approval is being sought to enter into a licence of Part Lot 7034 DP 1118743 (Dickinsons Recreation Reserve, Bermagui) with Luke Axisa trading as Good Sauna Australia for the purpose of operating a mobile sauna. The proposal was advertised in accordance with the Local Government Act 1993 (LG Act) and the report outlines the outcome of this process.
Background
On 11 June 2025, Council reviewed the outcomes of the Expression of Interest (EOI) process undertaken to identify suitably qualified commercial operators for the use of Council-owned and managed reserves across the shire. The resolution was as follows:
1. That Council considers the recommendation of Council officers, as outlined in the attached Confidential Report, and resolves accordingly.
2. That Council delegates authority to the Chief Executive Officer to enter negotiations and execute the necessary documentation to grant tenure to the successful applicants.
3. That Council delegates authority to the Chief Executive Officer to enter into short-term licence agreements with other suitably qualified commercial entities or incorporated organisations, effective until 30 June 2028.
Council officers received a request from Luke Axisa trading as Good Sauna Australia seeking approval to operate a mobile sauna business at Dickinsons Recreation Reserve, Bermagui.

Figure 1: Proposed location of mobile sauna.
The request sought approval to operate during the ReBoot in Bermagui event and a longer-term arrangement for ongoing use of the site. Approval was granted for the sauna to operate during the ReBoot in Bermagui event which took place between 4 and 5 October 2025.

Figure 2: Mobile sauna on site during the ReBoot Bermagui event.
The ongoing tenure proposal was advertised in accordance with section 47 of the LG Act. Following the advertising period, Council received a total of ten submissions regarding the proposal with three raising objections and seven providing letters of support.
Common themes raised within the objections are summarised below:
1. Impact on Local Business
There were concerns about the fairness of allowing mobile commercial operators on public land with some strong opinions regarding competition with existing businesses that pay rent and rates in permanent premises.
2. Use of Public Land and Amenities
Questions were raised about the appropriateness of using Crown Land for commercial purposes and how public facilities such as showers and toilets would be used by sauna patrons.
3. Environmental and Visual Impact
Concerns were raised about the potential damage to the reserve from daily vehicle access as well as the visual impact of the sauna on a prominent and scenic part of the foreshore.
4. Operational Details
There were questions about logistics including power supply, waste management, changing areas and compliance with health and safety regulations.
5. Location Suitability
A suggestion was made to consider an alternative site slightly further east along the foreshore to reduce congestion and preserve public viewing areas. Attached with this report as information for Councillors are:
· A copy of each of the submissions, with personal information redacted, received during the advertising period
· A response to the objections received from Luke Axisa, trading as Good Sauna Australia (confidential)
· A copy of letter of support supplied by the applicant, with personal information redacted, received after the advertising period.
Options
The options available to Councillors are:
1. Accept the recommendation of Council officers as outlined in this report and resolve accordingly to approve a one (1) year licence to Luke Axisa trading as Good Sauna Australia for the purpose of operating a mobile sauna in accordance with the adopted fees and charges. Recommended.
2. Council resolves not to proceed with the proposed licence agreement.
Community and Stakeholder Engagement
Engagement undertaken
Council officers have had ongoing engagement with the applicant regarding the proposal and have consulted with Council’s parks and recreation team to confirm the proposed location is suitable.
The proposal was advertised in accordance with section 47 of the LG Act from 23 September 2025 to 24 October 2025. During this time three objections were raised, and seven letters of support were received.
Engagement planned
Council officers will continue to liaise with the applicant to advise of the outcome of Council’s decision and any required action following the resolution. Council officers will also notify those who made a submission of the outcome of Council’s decision.
Financial and Resource Considerations
As a Crown Land Manager, Council is required to ensure that all revenue generated from the use of community land is reinvested into the ongoing maintenance and long-term sustainability of the reserves. Leasing and licencing income is a key funding source that enables Council to meet operational costs and invest in improvements that benefit current and future users of Crown land.
It is proposed that this licence agreement be based on the fees set out in Council’s adopted fees and charges schedule and the current fee for recreational activities is $1,010.00 per year.
In addition, the applicant will be required to pay a separate Use of Public Land approval fee for the proposed activity.
Legal /Policy
Under the Crown Land Management Act 2016 (CLM Act), Council as a Crown Land Manager is generally authorised to administer Crown land in accordance with the public land provisions of the Local Government Act 1993 (LG Act), including the granting of leases and licences.
For Crown land classified as community land, Council must have an adopted Plan of Management (PoM) in place. The LG Act stipulates that leases, licences, and other estates may only be granted where expressly authorised within an adopted PoM.
However, prior to the adoption of a PoM, Council may grant leases and licences under specific circumstances outlined in Clause 70 of the Crown Land Management Regulation 2018 (CLM Regulation).
Council’s Policy 4.15 – Use of Public Land (Local Approvals) authorises short-term use of Council-owned and managed Crown land for a range of purposes, including mobile food vending, fitness training, and recreational activities. However, a formal licence to occupy the site is required. Accordingly, the proposed licence agreement will be administered in accordance with the provisions of the LG Act and CLM Act, as well as Council’s Management of Leases and Licences Procedure and Policy 4.15 – Use of Public Land (Local Approvals).
Impacts on Strategic/Operational/Asset Management Plan/Risk
Strategic Alignment
Council’s Delivery Program 2025–2029 identifies the oversight of leases and licences for Council-owned land and buildings as a core operational responsibility. This function ensures that Council assets are managed effectively, transparently, and in alignment with strategic objectives. By maintaining oversight, Council supports the sustainable use of public assets, maximises community benefit, and ensures compliance with legislative and policy frameworks.
This strategic focus also enables Council to respond to changing market conditions, community needs, and asset management priorities. It provides a structured approach to tenure decisions, ensuring that proposals, such as the proposed licence to licence to Luke Axisa trading as Good Sauna Australia are assessed in accordance with Council’s adopted plans, financial considerations, and governance obligations.
Environment and Climate Change
The proposed licence is not expected to have significant environmental impacts as any use will be required to comply with planning controls for waste, energy and coastal protection.
Some of the objections received raised concerns over the potential degradation to the reserve due to equipment being driven on and off the reserve each day.
To mitigate this a 3-day approval would be provided as part of the Use of Public Land approval which would reduce the wear and tear on the surrounding parkland.
Economic
The proposed licence will provide Council with additional income to reinvest into the reserve. The operation could attract additional visitors to the reserve supporting local tourism and other local businesses.
Risk
Regulatory and statutory compliance is defined as a strategic risk for Council. The issue of rising administrative complexity and cost of continuous change with increasing and competing statutory and regulatory compliance regimes remains an ongoing challenge for Council.
Ensuring occupation of Council-owned and managed land is authorised by way of a formal tenure arrangement that contains the appropriate indemnity and insurance clauses necessary to reduce risks associated with regulatory and statutory compliance with legislation is a key risk control for Council.
There are reputational risks associated with how Council responds to objections received during the public consultation process. Given the significant level of support for the proposal, Council officers have recommend proceeding with the tenure arrangement. To mitigate the risk, a short-term tenure arrangement of one (1) year is proposed.
Social / Cultural
Licencing of Council’s reserves for purposes such as mobile food vending, fitness training, recreational activities, and other commercial activities can deliver meaningful social and cultural benefits. These activities can help activate public spaces, encourage social interaction, and foster a stronger sense of community by bringing people together in shared environments.
Attachments
1⇩. 2025.12.10 ATTACHMENT Submissions received proposed temporary licence R83225 Dickinsons Recreation Reserve Bermagui
2⇩. 2025.12.10 ATTACHMENT Letters of Support proposed temporary licence R83225 received following advertising
3. 2025.12.10 CONFIDENTIAL ATTACHMENT Response regarding objections to Good Sauna application (Confidential - As this attachment contains commercial information of a confidential nature that would, if disclosed (i) prejudice the commercial position of the person who supplied it; or (ii) confer a commercial advantage on a competitor of the Council; or (iii) reveal a trade secret as per Section 10A(2)(d) of the Local Government Act 1993.
Although the above relates more explicitly to the discussion of closed business, it also forms part of the basis of justification as to why information relied upon in informing the public decisions made by Council are kept confidential. To consider this confidential material in open Council would be, on balance, contrary to the public interest (as defined in Section 14 of Government Information Public Access (GIPA) Act 2009). This meets the requirements of Sect 10 D of the Local Government Act 1993 if Council were to close the meeting to discuss the details.
|
10 December 2025 |
|
|
Item 10.2 - Attachment 1 |
2025.12.10 ATTACHMENT Submissions received proposed temporary licence R83225 Dickinsons Recreation Reserve Bermagui |

|
10 December 2025 |
|
|
Item 10.2 - Attachment 2 |
2025.12.10 ATTACHMENT Letters of Support proposed temporary licence R83225 received following advertising |

|
Item 10.3 |
10.3. Proposed transfer of tenure: Eden Scouts Hall to Eden Men’s Shed
This report advises Council that Scouts NSW intends to terminate its land only licence agreement for Lot 862 DP 1108951, Princes Highway, Eden, and seeks approval to enter into a new land only tenure arrangement with Eden Men’s Shed.
Director Organisational Services
1. That Council approve a 20-year land-only lease to Eden Men’s Shed for occupation of the designated section of Lot 862 DP 1108951, Princes Highway, Eden, at a market rental of $1,400 plus GST per annum, less any rebate applied in accordance with Council’s Rental Assessment and Rebate Procedure. It is noted that Eden Men’s Shed will assume ownership and full liability for the existing Scout Hall building.
2. That Eden Men’s Shed be responsible for all costs associated with the preparation and registration of the lease.
3. That Council authorise the Chief Executive Officer and Mayor to execute all necessary documentation to formalise the tenure.
Executive Summary
The Eden Sea Scouts currently occupy a hall on Council-owned land at Lot 862 DP 1108951, Princes Highway, Eden, under a five-year licence agreement expiring 31 January 2028. The hall originated as the relocated Palestine Public School building, approved under DA 72/08, and has been developed further by the Scouts. Historically, Council has maintained land-only licence agreements, with resolutions dating back to 1993.
Scouting activities have ceased, and Scouts NSW intends to terminate the licence. Meanwhile, Council granted in-principle support in June 2024 for Eden Men’s Shed to construct a new facility on the same parcel of land, subject to funding and approvals. Development consent for the new shed was issued on 9 April 2025 (DA 2024.306).
Eden Men’s Shed now proposes to assume ownership of the existing Scout Hall instead of building a new structure, reducing costs and timelines, and enter into a new 20 year land only lease with Council. Internal consultation confirms this use aligns with existing approvals. Council officers recommend granting Eden Men’s Shed a new 20-year lease for the land, without a further expression of interest process.
Background
The Eden Sea Scouts group currently occupies the hall located on Council owned community land at Lot 862 DP 1108951, Princes Highway, Eden. Their occupation has been formalised via a five (5) year licence agreement which expires on 31 January 2028.
The original hall building erected on the site by the first Eden Sea Scouts group was the Palestine Public School building which was relocated to the site for use as a scout hall under development application 72/08. It appears at the time the land was known as Crown Reserve 86203 which was later vested in Council via Government Gazette dated 3 March 1978 Folio 737–738.
Since the building was erected on the site the Eden Sea Scouts group has further developed the building and Council has only ever had land-only licence agreements in place to formalise their occupation of the site. Council originally resolved on 23 February 1993 (resolution 124/93) to enter a 20 lease renewed via a (five) 5-year licence agreement in 2013 and 2018.
Unfortunately, Scouting has ceased at the premises and Scouts Australia NSW are seeking to terminate the Licence with Council.
Concurrently, at its ordinary meeting on 26 June 2024 Council resolved to provide in principle approval for Eden Men’s Shed’s Community Project Proposal for the erection of a new building on the same parcel of land being Lot 862 DP 1108951.
“That the proposal for construction of a Men's Shed at Eden has in principle support to enable the applicant to make external funding applications subject to the applicant completing the project development checklist, sourcing external funding, working through land tenure approvals and requirements relevant to the use of the site, confirming they will be responsible for ongoing care, maintenance and renewal, and undertaking further project development and detailed design for approval.”
On 9 April 2025 development consent was issued for DA 2024.306 for the use of the land for a Community Facility (Men’s Shed) and the erection of a shed. Eden Men’s Shed have now expressed their interest in utilising the existing Scouts Hall following advice from Scouts that they are no longer using the site, potentially saving the Eden Men’s Shed the costs and time associated with pursuing the building of a new premises. A requirement of the proposed agreement would be for the Eden Men’s Shed to assume responsibility for the existing structure, being the hall, including all ongoing care, insurance, maintenance and renewal.
Internal consultation with Council’s Planning Services team has confirmed that the broad community facility type use proposed by the Eden Men’s Shed can reasonably be accommodated under the existing approval for the Scout Hall.
Council officers recommend entering into a new 20 year land only lease without conducting a formal expression of interest based on:
· The limited existing approval for the Scout Hall as a community facility type
· The willingness of the Eden Men’s Shed to take on ownership and liability for the existing Scout Hall building
· The community benefit in having this premises occupied by a community and not-for-profit organisation like the Eden Men’s Shed rather than face vacancy.
Under Council’s adopted Procedure 4.10.03 Management of Leases and Licences, a market rental valuation is typically required at the commencement of a new lease/licence. However, given the land only market rental assessment commissioned by Council in July 2018 indicated a commercial rental figure of $1,400 per annum and Eden Men’s Shed meeting the criteria for a rental rebate, officers recommend relying on this valuation as a benchmark for current market rental value to avoid incurring unrecoverable costs.
The Eden Sea Scouts currently occupy the hall situated on Council-owned community land at Lot 862 DP 1108951, Princes Highway, Eden, under a five-year licence agreement that expires on 31 January 2028.
The original hall was the former Palestine Public School building, relocated to the site under Development Application 72/08. At that time, the land was identified as Crown Reserve 86203, later vested in Council via Government Gazette dated 3 March 1978 (Folio 737–738).
Over the years, the Eden Sea Scouts have further developed the building, with Council formalising occupancy through land-only licence agreements. Council first resolved on 23 February 1993 (Resolution 124/93) to grant a 20-year lease, which was subsequently renewed via five-year licences in 2013 and 2018.
Scouting activities at the site have ceased, and Scouts Australia NSW has requested termination of the current licence, including a proposal for Council to assume responsibility for the building.
In parallel, at its Ordinary Meeting on 26 June 2024, Council resolved to provide in-principle support for Eden Men’s Shed’s proposal to construct a new facility on the same parcel of land, subject to meeting project development requirements, securing external funding, and assuming responsibility for ongoing care and maintenance. Development consent for DA 2024.306 was issued on 9 April 2025 for the use of the land as a community facility and the erection of a shed.
Eden Men’s Shed has since expressed interest in occupying the existing Scout Hall, following advice that Scouts will vacate the site. This option would avoid the cost and time associated with constructing a new building. Under the proposed agreement, Eden Men’s Shed would assume full responsibility for the hall, including ownership, insurance, maintenance, and renewal.
Internal consultation with Council’s Planning Services team confirms that the proposed community facility use aligns with the existing approval for the Scout Hall.
Council officers recommend entering into a new 20-year land-only lease without a formal expression of interest process, based on:
· The existing approval for community facility use;
· Eden Men’s Shed’s willingness to assume ownership and liability for the building;
· The community benefit of maintaining occupancy by a not-for-profit organisation rather than leaving the premises vacant.
Options
The options available to Council are:
1. Approve a 20-year land-only lease for Eden Men’s Shed to occupy a section of Lot 862 DP 1108951, Princes Highway, Eden, at a market rental of $1,400 plus GST per annum, subject to any rebate applied under Council’s Rental Assessment and Rebate Procedure. Eden Men’s Shed would assume ownership and full liability for the existing Scout Hall building. Recommended
2. Undertake a public expression of interest process for the use of Lot 862 DP 1108951, Princes Highway, Eden. Note that Eden Sea Scouts own the existing building and may choose to remove it. If the structure remains and no suitable applicant expresses interest, Council would be responsible for maintaining the building.
Community and Stakeholder Engagement
Engagement undertaken
Council officers have consulted with representatives from Scouts NSW and Eden Men’s Shed, and both parties have agreed to terminate the existing licence with Scouts NSW and proceed with a new land-only lease arrangement with Eden Men’s Shed.
Engagement planned
Council officers will continue to liaise with both organisations as required to implement Council’s resolution.
In accordance with Section 47 of the Local Government Act 1993 (NSW), if Council proposes to grant tenure over community land, it must:
· Provide public notice of the proposal, including publication on Council’s website.
· Display a notice on the land to which the proposal relates.
· Notify owners or occupiers of adjoining land.
· Notify any other person who, in Council’s opinion, owns or occupies land in the vicinity and is likely to have the land as the primary focus of their enjoyment of community land.
Financial and Resource Considerations
Under the recommended option, Eden Men’s Shed would enter into a 20-year land-only lease at a maximum annual market rental of $1,400 plus GST, subject to assessment under Council’s Rental Assessment and Rebate Procedure. Following this process, it is likely that the organisation will pay the statutory minimum rent applicable to Crown land.
Eden Men’s Shed will assume ownership and full liability for the existing Scout Hall building, removing Council’s ongoing maintenance, insurance, and risk exposure for the structure. This represents a significant cost-saving compared to scenarios where Council retains responsibility for the building.
If Council proceeds with a public Expression of Interest process and no suitable applicant is identified, Council may incur additional costs for building maintenance, insurance, and potential demolition of the existing structure. These costs would need to be funded from Council’s operational budget.
Resource implications include staff time for:
· Preparing and executing the lease agreement.
· Managing compliance with Section 47 of the Local Government Act 1993 (NSW), including public notification requirements.
· Ongoing monitoring of lease conditions.
Legal /Policy
In line with the Independent Commission Against Corruption (ICAC) Guidelines, and to ensure transparency while avoiding any perception of impropriety, Council officers have assessed the appropriateness of direct negotiation with the current occupant. It is recommended that a formal Expression of Interest (EOI) process not be undertaken, based on the following considerations:
1. Local community benefit: Eden Men’s Shed is a locally based, stand-alone, not-for-profit organisation managed by a voluntary committee of local representatives.
2. Planning compliance: The proposed use of the site by Eden Men’s Shed is consistent with the existing development consent for a community facility.
3. Cost efficiency: The cost of conducting market testing and a public competition process would exceed the rental income achievable after applying a community not-for-profit rebate under Council’s Rental Assessment and Rebate Procedure.
4. Conflict of interest management: Council Property Officers complete annual Pecuniary Interest returns, and no conflicts of interest have been disclosed.
5. Continuity of community service: Eden Men’s Shed is already established and operating locally, ensuring immediate and ongoing delivery of community benefits without delays associated with an EOI process.
6. Location and use: The existing building is location and purpose-suited for Eden Men’s Shed activities. Alternative uses would likely require significant modifications or demolition, increasing costs and environmental impact.
7. Limited market appeal: The site’s constraints (location, size, existing structure) make it unattractive for commercial or alternative community uses, reducing the likelihood of competitive interest.
8. Risk of vacant or derelict building: If the EOI process fails to attract suitable applicants, Council would inherit responsibility for maintaining or demolishing the building, creating an unbudgeted financial burden.
9. Alignment with Council strategic objectives: Eden Men’s Shed supports Council’s goals for social inclusion, mental health, and community engagement, which may not be guaranteed with other applicants.
10. Cost-benefit analysis: The administrative and advertising costs of an EOI process would outweigh potential rental income, especially after applying rebates for community organisations.
11. Community support and demand: There is strong local demand for Men’s Shed services, and the organisation has demonstrated capacity to meet this need effectively.
12. Ownership and liability transfer: Eden Men’s Shed will assume full responsibility for the building, relieving Council of ongoing maintenance, insurance, and risk exposure.
Impacts on Strategic/Operational/Asset Management Plan/Risk
Strategic Alignment
Council’s Delivery Program 2025 - 2029 identifies the oversight of leases and licences for Council-owned land and buildings as a core operational responsibility. This function ensures that Council assets are managed effectively, transparently, and in alignment with strategic objectives. By maintaining oversight, Council supports the sustainable use of public assets, maximises community benefit, and ensures compliance with legislative and policy frameworks.
This strategic focus also enables Council to respond to changing market conditions, community needs, and asset management priorities. It provides a structured approach to tenure decisions, ensuring that proposals such as the transfer of tenure from Scouts NSW to Eden Men’s Shed are assessed in accordance with Council’s adopted plans, financial considerations, and governance obligations.
Importantly, Council has previously approved a community project proposal for Eden Men’s Shed to establish its operations on this site, recognising the organisation’s role in delivering social, health, and wellbeing benefits to the local community. The proposed transfer of tenure and building ownership from Scouts NSW to Eden Men’s Shed directly supports this approved initiative, avoids unnecessary delays, and ensures continuity of community service. Eden Men’s Shed will assume full responsibility for the building, reducing Council’s maintenance and risk exposure while advancing strategic objectives for community engagement and asset sustainability.
Environment and Climate Change
The proposed tenure arrangement and transfer of the existing Scout Hall building to Eden Men’s Shed presents minimal environmental impact, as it involves the continued use of an existing structure rather than new construction. This approach supports resource efficiency and reduces waste by avoiding demolition and the associated carbon emissions. By supporting adaptive reuse and community-led improvements, the proposal contributes to Council’s broader environmental and climate change commitments outlined in the Delivery Program 2025 - 2029.
Economic
The proposed transfer of tenure and building ownership from Scouts NSW to Eden Men’s Shed will deliver positive economic outcomes for Council and the community. By granting tenure and transferring ownership, Council avoids future costs associated with maintenance, insurance, and potential demolition, while ensuring the building remains in productive use. Eden Men’s Shed, a locally based volunteer organisation, contributes to the regional economy by sourcing materials and services locally and providing social benefits that reduce long-term demand on health and social services.
Risk
Reputational Risk
There is a potential for negative community perception regarding Council’s management of facilities, particularly in relation to decisions to offer community facilities at rental rates below the standard rebated level.
Mitigation: To address this, Council should maintain transparency in its decision-making processes, ensure alignment with heritage and community values, and clearly communicate the rationale behind tenure arrangements and the support provided to community organisations. This includes documenting the basis for rental decisions and engaging proactively with stakeholders to reinforce Council’s commitment to responsible asset management and community benefit.
Financial Risk
Scouts NSW have made their intention to terminate their current agreement clear, and not proceeding with a lease to Eden Men’s Shed may lead to the site being left vacant with no income being generated.
Mitigation: Proceeding with the transfer of tenure to Eden Men’s Shed would ensure the continued use of the facility and applying a rental structure based on the 2018 market valuation with applicable rebates to balance cost recovery and community benefit.
Social / Cultural
Council acknowledges the significant contribution of Scouts NSW, which, through the Eden Sea Scouts, has provided valuable services to the Eden community for many years. These programs have played an important role in fostering community connections and improving the quality of life for families and young people.
The proposed transfer of tenure and continued use of the site by Eden Men’s Shed aligns with Council’s strategic goal of creating inclusive, connected communities that promote health and wellbeing. Retaining the facility for community purposes at this location will address ongoing local needs and ensure continuity of support for vulnerable groups, while enabling a smooth transition from Scouts NSW to Eden Men’s Shed.
Attachments
Nil
|
Item 10.4 |
10.4. Notice of liquidation of Playability Eden and proposed new licence to Tulgeen
This report notifies Council of the liquidation of Playability Incorporated and the resulting termination of its licence over Council managed Crown Reserve R180019 in Eden. It also seeks Council’s approval to enter into a new licence agreement with Tulgeen Disability Services.
Director Organisational Services
1. That Council, as Crown Land Manager of Reserve R180019 at Eden, approve a two-year licence agreement with Tulgeen Disability Services for occupation of Lot 702 DP 1020046, at an annual rental of $669.90, to be adjusted annually in accordance with Crown Lands’ minimum rental requirements.
2. That all costs associated with establishing the licence agreement be borne by Tulgeen Disability Services.
3. That the Chief Executive Officer and Mayor be authorised to execute all necessary documentation to formalise this course of action.
Executive Summary
Council has received formal notification that Playability Incorporated has entered liquidation, and the appointed liquidator has terminated its licence over Council managed Crown Reserve R180019 in Eden. Tulgeen Disability Services has subsequently requested use of the site to continue delivering community services. This report seeks Council’s approval to progress tenure arrangements with Tulgeen Disability Services.
Background
On 24 July 2024, Council resolved the following in relation to the renewal of the licence for Playability Incorporated:
1. That Council, as Crown Land Manager of R180019 at Eden approve a further ten-year licence agreement to Playability Incorporated for their continued occupation of Lot 702 DP 1020046 for an annual rental of $654.50 adjusted annually in accordance with Crown Lands minimum annual rental and Consumer Price Index value.
2. That all costs associated with the establishment of the licence agreement be the responsibility of Playability Incorporated.
3. That the Chief Executive Officer and Mayor be authorised to execute the necessary documentation to formalise the above course of action
Following Council’s resolution, a tenure arrangement was established and was not set to expire until 30 June 2034.
On 17 October 2025, Council received formal notification from Oldhams Advisory that Playability Incorporated had entered liquidation. Consequently, its licence was terminated, and the property is now vacant.
Council has since received a request from Tulgeen Disability Services to utilise the property. Tulgeen has advised that they intend to use the site to continue delivering support services to children in the Eden area following Playability’s closure.
Council’s Children’s Services team has confirmed they are undertaking a feasibility study for service expansion, which may affect the future use of Lot 702 DP 1020046. Considering this, Council officers recommend offering short term tenure of up to two (2) years to Tulgeen Disability Services under the same terms and conditions previously applied to Playability Incorporated.
This approach ensures continuity of essential community services during a transitional period, supporting vulnerable families and maintaining vital programs in the Eden area.
Options
The options available to Council are:
1. Accept the recommendation of Council officers in this report and resolve accordingly. Recommended
2. Approve a two (2) year licence to Tulgeen Disability Services for occupation of Lot 702 DP 1020046 at $29,500 plus GST per annum, less any applicable rental rebate, adjusted annually by the Consumer Price Index. This option is not recommended as it is not financially viable for the organisation and would likely result in discontinuation of services.
3. Maintain vacant possession of the property until completion of the Children’s Services expansion feasibility study. This option is not recommended as there are limited suitable sites in Eden for delivering essential services. This option is not recommended as it would leave the property vacant and delay the continuation of much needed support for local families and individuals.
Community and Stakeholder Engagement
Engagement undertaken
Council officers have consulted with Oldhams Advisory, the appointed liquidators for Playability Incorporated, and received confirmation of the liquidation and termination of the licence, along with advice that the property is now vacant.
Following an enquiry from Tulgeen Disability Services regarding occupation of the site, Council officers engaged with their General Manager to discuss potential use. In addition, consultation was undertaken with Council’s Children’s Services team to ensure future requirements for the site are considered.
Engagement planned
Council officers will continue to work with Tulgeen Disability Services to implement Council’s resolution.
In accordance with section 47 of the Local Government Act 1993 (NSW) (LG Act), if Council proposes to grant tenure over community land, it must:
· Provide public notice of the proposal, including publication on Council’s website.
· Display notice of the proposal on the land to which it relates.
· Notify persons who appear to own or occupy land adjoining the community land.
· Notify any other person who appears to own or occupy land in the vicinity, if Council considers the land subject to the proposal is likely to be the primary focus of that person’s enjoyment of the community land.
Financial and Resource Considerations
An updated market rental assessment commissioned by Council in June 2024 determined a starting rental of $29,500 plus GST per annum. As a not-for-profit organisation, Tulgeen Disability Services is eligible for a rental rebate under Council’s Rental Assessment and Rebate procedure. Given Tulgeen’s intention to continue delivering services previously provided by Playability Incorporated and noting that the maximum available tenure is two years, Council officers recommend proceeding with Crown Lands’ minimum annual rental, under similar terms and conditions to those applied to Playability Incorporated.
This recommendation will impact Council’s financial position, as any rebated or reduced rental fee may limit Council’s ability to recover ongoing costs associated with managing the site including depreciation, outgoings, administration, and maintenance.
Legal /Policy
Under the Crown Land Management Act 2016 (CLM Act), Council as Crown Land Manager (CLM) is generally authorised to administer Crown land under the public land provisions of the LG Act, including the issuing of licences.
For Crown land classified as community land, Council must have an adopted Plan of Management (PoM) in place. Under the LG Act, licences may only be issued for community land where the adopted PoM expressly authorises such tenure. Prior to the adoption of a PoM, Council CLMs may grant licences in certain circumstances, as outlined in clause 70 of the Crown Land Management Regulation 2018 (CLM Regulation).
Formal notification of the liquidation for Playability Incorporated was received from the appointed liquidator, Oldhams Advisory, on 17 October 2025. As a result, Playability’s licence was terminated in accordance with the terms of the agreement and relevant legislative requirements, and the property is now vacant.
Impacts on Strategic/Operational/Asset Management Plan/Risk
Strategic Alignment
Council’s Delivery Program 2025–2029 identifies the oversight of leases and licences for Council-owned land and buildings as a core operational responsibility. This function ensures that Council assets are managed effectively, transparently, and in alignment with strategic objectives. By maintaining oversight, Council supports the sustainable use of public assets, maximises community benefit, and ensures compliance with legislative and policy frameworks.
This strategic focus also enables Council to respond to changing market conditions, community needs, and asset management priorities. It provides a structured approach to tenure decisions, ensuring that proposals, such as the proposed licence to licence to Tulgeen Disability Services are assessed in accordance with Council’s adopted plans, financial considerations, and governance obligations.
Environment and Climate Change
There are no identified environmental or climate change impacts associated with the proposed licence or the change in tenancy for Crown Reserve R180019. The recommended action involves the continuation of existing community service activities at the site, with no new development, construction, or change in land use proposed.
Council will continue to monitor compliance with relevant environmental regulations and ensure that all activities conducted on the site align with Council’s sustainability objectives and statutory obligations.
Economic
The proposed licence arrangement with Tulgeen Disability Services will have several economic implications for Council. While the market rental assessment determined a starting rental of $29,500 plus GST per annum, Tulgeen’s eligibility for a rental rebate as a not-for-profit organisation means Council will receive a reduced annual rental income, set at the Crown Lands minimum rate. This reduction in revenue may limit Council’s ability to fully recover ongoing costs associated with managing the site, including depreciation, outgoings, administration, and maintenance.
However, enabling Tulgeen Disability Services to continue operating at the site supports local employment, maintains essential community services, and contributes to the economic wellbeing of families and individuals in the Eden area. The arrangement also helps to avoid the negative economic impact that could result from the property remaining vacant, such as loss of service provision, reduced community support, and potential deterioration of the asset.
Risk
Reputational risk
Risk: There is a potential for negative community perception regarding Council’s management of community land, particularly in relation to decisions to offer community facilities at rental rates below the standard rebated level.
Mitigation: To address this, Council should maintain transparency in its decision-making processes, ensure alignment with community values, and clearly communicate the rationale behind tenure arrangements and the support provided to community organisations. This includes documenting the basis for rental decisions and engaging proactively with stakeholders to reinforce Council’s commitment to responsible asset management and community benefit.
Financial risk
Risk: Continued Council ownership and management of the facility incurs ongoing liabilities, including maintenance and potential capital works.
Mitigation: Include tenant responsibilities in the licence to reduce Council’s financial burden.
Social / Cultural
Tulgeen Disability Services has been a longstanding provider of support for people with disabilities in the Bega Valley community since the 1970s, delivering programs that foster inclusion, independence, and wellbeing. Council also recognises the significant contribution of Playability Incorporated, which provided vital support services to the Eden community for many years, strengthening community connections and enhancing quality of life for families and individuals.
The proposed licence to Tulgeen Disability Services aligns with Council’s strategic objectives to support inclusive and connected communities, promoting the health and wellbeing of residents. Maintaining service delivery at this location will help address ongoing community needs and ensure continuity of support for vulnerable groups.
The liquidation of Playability Incorporated has resulted in a gap in service provision for local families and individuals, particularly those with disabilities. By progressing tenure arrangements with Tulgeen Disability Services, Council aims to minimise disruption, maintain essential programs, and uphold its commitment to supporting the social fabric of the Eden community.
Attachments
1. Oldhams Advisory liquidation notification (Confidential - As this attachment contains commercial information of a confidential nature that would, if disclosed (i) prejudice the commercial position of the person who supplied it; or (ii) confer a commercial advantage on a competitor of the Council; or (iii) reveal a trade secret as per Section 10A(2)(d) of the Local Government Act 1993.
Although the above relates more explicitly to the discussion of closed business, it also forms part of the basis of justification as to why information relied upon in informing the public decisions made by Council are kept confidential. To consider this confidential material in open Council would be, on balance, contrary to the public interest (as defined in Section 14 of Government Information Public Access (GIPA) Act 2009). This meets the requirements of Sect 10 D of the Local Government Act 1993 if Council were to close the meeting to discuss the details.
Council 10 December 2025 |
Item 10.5 |
10.5. Licence Agreements - Old Merimbula School Site
The licence agreements for the Merimbula Imlay Historical Society and the Merimbula Branch of the Scouts and Guides Associations to occupy the Old Merimbula School site are due for renewal.
Director Organisational Services
1. That Council, as Crown Land Manager of Reserve 84856, approve a five-year licence for the Merimbula Imlay Historical Society to continue occupying their existing premises at the Old Merimbula School site, with an annual rental set at the Crown statutory minimum rate.
2. That Council, as Crown Land Manager of Reserve 84856, approve a five-year licence for the Merimbula Scouts and Guides Association to continue occupying their existing premises at the Old Merimbula School site, with an annual rental set at the Crown statutory minimum rate.
3. That the Chief Executive Officer and Mayor be authorised to execute all necessary documentation to formalise these arrangements.
Executive Summary
The Old Merimbula School site is located on a Crown Reserve (R84856) for which Bega Valley Shire Council are the Crown Land Manager. For over 25 years, the Merimbula Imlay Historical Society and the Scouts and Guides Associations have occupied the site harmoniously under Crown licence agreements, both consistent with the reserve’s designated purpose of Public Buildings. Historical records indicate that the museum building was originally constructed in 1875 as a school.
The current licence agreements are due to expire in February 2026, and both licensees have expressed interest in continuing their occupancy. As the reserve is shared by both organisations, it is recommended that their occupation continue via licence agreements, which do not grant exclusive use to either party or require subdivision of the reserve for lease purposes.
Background
The Old Merimbula School site has been continuously occupied by the Merimbula Imlay Historical Society (MIHS) and the Scouts and Guides Associations for over 25 years, during which both organisations have made significant contributions to the local community through their programs and activities. Council has previously considered tenure arrangements for these groups, with detailed reports presented in April 2016 and November 2020, highlighting the importance of their ongoing presence at the site.
Both licensees have expressed their desire to continue occupying their respective premises. Council officers recommend entering into new five-year licence agreements without undertaking a public competition process or commissioning a new valuation, based on the following considerations:
· The proposed uses align with the gazetted purpose of the reserve (Public Buildings).
· Both organisations have a longstanding history of occupancy and have made substantial financial investments, including the Scouts and Guides’ funding and construction of the Colourbond hall at the rear of the site.
· Council’s existing resolution to apply minimum rent, following a market valuation in 2020.
· The Scouts and Guides Association provides valuable services for children and young people, and the hall is a well-maintained community resource.
· MIHS, operating from the Old School Museum, preserves local history and has undertaken extensive restoration works funded through grants, society income, and community contributions.
· The cost of conducting a market testing or public competition process would exceed the rental income achievable after applying a rental rebate.
Under Council’s adopted Procedure 4.10.03 Management of Leases and Licences, a market rental valuation is typically required at the commencement of a new licence. However, given the prior resolution and to avoid unrecoverable costs, officers recommend relying on the 2020 Opteon valuation as a benchmark for current market rental value. This assessment indicated that, if leased commercially, the museum could achieve $11,250 - $12,500 per annum, and the Scouts and Guides site $9,666 - $11,814 per annum.
The valuation was based on land only, considering MIHS’s substantial investment in the building. The Scouts and Guides have occupied the site since 1987 and financed the construction of the Colourbond hall. The Old Merimbula School building is currently listed on Council’s insurance schedule at $1,059,000, and MIHS is required to maintain its own contents insurance.

Figure 1: Area to be licensed by the Merimbula Imlay Historical Society.

Figure 2: Area to be licensed by the Merimbula Scouts & Guides
Options
The options available to Council are:
1. Approve a five-year tenure for MIHS and the Scouts and Guides Association to continue occupying their respective premises at the Old Merimbula School site (R84856), with annual rent set at the Crown statutory minimum. Recommended
2. Approve a five-year tenure for MIHS and the Scouts and Guides Association to continue occupying their respective premises at the Old Merimbula School site (R84856), with annual rent based on the 2020 independent market valuation, less any applicable rebate under Council’s Procedure 4.10.4 – Rental Assessment and Rebate.
3. Approve a five-year tenure for MIHS and the Scouts and Guides Association to continue occupying their respective premises at the Old Merimbula School site (R84856), with annual rent based on an updated independent market valuation, less any applicable rebate under Council’s Procedure 4.10.4 – Rental Assessment and Rebate. This option is not recommended as the cost of obtaining a new valuation would not be recoverable if minimum or rebated rent is applied.
Community and Stakeholder Engagement
Engagement undertaken
Council officers have discussed the proposed tenure arrangement with representatives from MIHS and the Scouts and Guides Association who have indicated they would like to renew their agreements.
Engagement planned
Council officers will continue to liaise with MIHS and the Scouts and Guides Association as required to implement Council’s resolution.
It is further recommended that a site inspection be undertaken with Council’s Property Officer, Facilities Officer, and representatives from MIHS and the Scouts and Guides Association. The purpose of this inspection is to establish a maintenance schedule that clearly defines the responsibilities of both Council and the organisations, to be incorporated into the new licence agreement.
Under section 47 of the Local Government Act 1993 (NSW), if Council proposes to grant tenure over community land, it must:
· Provide public notice of the proposal, including on Council’s website.
· Display notice of the proposal on the land concerned.
· Notify adjoining landowners and occupiers.
· Notify any other person who, in Council’s opinion, is likely to have the land as the primary focus of their enjoyment of community land.
Financial and Resource Considerations
The recommended option will have a modest financial impact, as rebated or reduced rent limits Council’s ability to recover ongoing costs such as depreciation, outgoings, administration, and maintenance, though this has historically been the case.
Market rental (2020 valuation):
· Museum: $11,250 - $12,500 p.a.
· Scouts & Guides hall: $9,666 - $11,814 p.a.
Minimum rent represents a significant revenue shortfall but avoids unrecoverable costs of new valuations or public tender.
Resource impact:
· Prepare and execute licence documents
· Conduct site inspection and agree maintenance schedule
· Ongoing compliance monitoring.
Legal /Policy
To ensure the proposed licence agreements align with the appropriate use of Reserve 84856, Council officers have considered:
· Compliance with relevant legislation, policies, and guidelines
· Compatibility with the reserve’s gazetted purpose (Public Recreation and Heritage)
· Native Title rights and Aboriginal land claims
In line with ICAC guidelines, direct negotiation with current occupants is recommended to maintain transparency and avoid unnecessary costs. A formal Expression of Interest process is not proposed due to:
1. Both organisations are locally based, not-for-profit, and managed by volunteer committees.
2. Scouts and Guides provide essential youth services and maintain a hall used by multiple community groups.
3. MIHS preserves local history and has invested significantly in restoration works.
4. Market testing costs would exceed achievable rental after rebates or minimum fees.
5. Use aligns with the reserve’s gazetted purpose.
6. No conflicts of interest have been disclosed by Council officers.
7. The reserve is subject to Aboriginal Land Claim and Native Title processes; only existing low-impact uses are permitted.
Under the Crown Land Management Act 2016 and Local Government Act 1993, Council as Crown Land Manager may issue licences where permitted by a Plan of Management or under Clause 70 of the Crown Land Management Regulation 2018. Clause 70(2)(b) confirms Ministerial consent is not required if the licence existed prior to 1 July 2018 and does not introduce new uses.
Impacts on Strategic/Operational/Asset Management Plan/Risk
Strategic Alignment
Council’s Delivery Program 2025–2029 identifies the oversight of leases and licences for Council-owned land and buildings as a core operational responsibility. This function ensures that Council assets are managed effectively, transparently, and in alignment with strategic objectives. By maintaining oversight, Council supports the sustainable use of public assets, maximises community benefit, and ensures compliance with legislative and policy frameworks.
This strategic focus also enables Council to respond to changing market conditions, community needs, and asset management priorities. It provides a structured approach to tenure decisions, ensuring that proposals, such as the proposed licences to MIHS and Scouts and Guides Association are assessed in accordance with Council’s adopted plans, financial considerations, and governance obligations.
Environment and Climate Change
The proposed licence renewals have no direct environmental or climate change implications, as they relate to tenure arrangements for existing community uses on a Crown Reserve without introducing new activities or physical works.
Economic
The recommended option will have a modest financial impact, as applying the Crown statutory minimum rent significantly reduces potential revenue compared to market rental rates. While this limits Council’s ability to recover costs such as maintenance, administration, and depreciation, it avoids unrecoverable expenses associated with obtaining new valuations or conducting a public tender process. Both organisations provide substantial community benefit that offset the economic shortfall.
Risk
In determining its direction, Council should consider the following risks and associated mitigation strategies:
Health and Safety Risk
Risk: Continued occupation of an ageing building may present safety hazards for users.
Mitigation: Undertake a site inspection with Council’s Property and Facilities Officers, along with representatives from MIHS and the Scouts and Guides Association, to assess current conditions and develop a maintenance schedule.
Reputational Risk
Risk: Community perception may be negatively impacted if Council is seen as mismanaging heritage assets or offering facilities at rental rates below standard levels.
Mitigation: Maintain transparency in decision-making, ensure alignment with heritage and community values, and clearly communicate the rationale for tenure arrangements. Document the basis for rental decisions and engage proactively with stakeholders to reinforce Council’s commitment to responsible asset management and community benefit.
Financial Risk
Risk: Ongoing ownership and management of the facility will incur liabilities, including maintenance and potential capital works.
Mitigation: Incorporate tenant responsibilities into the licence agreements to reduce Council’s financial burden.
Social / Cultural
Council acknowledges and values the significant voluntary contributions of the Merimbula Imlay Historical Society (MIHS) in preserving the Shire’s history and heritage over many years. Their long-standing presence at the Old School Museum has been highly regarded by Council, the local community, and visitors who engage with the site.
Council also recognises the important role of the Scouts and Guides Associations as a vital community asset. Through their programs, they foster the physical, intellectual, and social development of young people, helping them become responsible citizens and active members of the local community.
Attachments
1⇩. Council Report dated 25 November 2020 - Bega Valley Shire Museums
2⇩. Council Report dated 6 April 2016 Licence Agreements - Old Merimbula School Site
|
10 December 2025 |
|
|
Item 10.5 - Attachment 1 |
Council Report dated 25 November 2020 - Bega Valley Shire Museums |

|
10 December 2025 |
|
|
Item 10.5 - Attachment 2 |
Council Report dated 6 April 2016 Licence Agreements - Old Merimbula School Site |

|
Item 10.6 |
10.6. Certificate of Investment November 2025
This report details Council’s cash and investments at 30 November 2025.
Director Organisational Services
1. That Council receive and note the report on Council’s investment position at 30 November 2025.
2. That Council notes the certification of the Responsible Accounting Officer.
Executive Summary
I, Judy Jordan, as the Responsible Accounting Officer of Bega Valley Shire Council, hereby certify the investments listed in the attached reports have been made in accordance with Section 625 of the Local Government Act 1993 (the LG Act) and clause 212 of the Local Government (General) Regulation 2021.
On 30 November 2025 the total capital value of cash and investments was $154,860,971 with 91.05% of Council’s investment portfolio directed to term deposits and the remainder held in cash deposit accounts. The following is investment information by fund:
|
Fund |
November 2025 ($’000) |
|
General Fund |
59.058 |
|
Water Fund |
26.587 |
|
Sewer Fund |
69.216 |
|
TOTAL |
154.861 |
All investments have been appropriately recorded in Council’s financial records, reconciled monthly.
Background
The Local Government Act 1993 and Local Government Regulation 2021 require that the Responsible Accounting Officer must present to Council monthly, the status of the investments held by Council. The Responsible Accounting Officer must detail the investments held, and their compliance with both internal policy and external regulation under the Ministerial Order of Investments.
Options
This is a receive and note report and does not require consideration of options for decision.
Community and Stakeholder Engagement
Engagement undertaken
There is no community or stakeholder engagement associated with the recommendation of this report.
Engagement planned
The investment details of Council are published in Council business papers and are publicly available at Council offices and on Council’s website.
Financial and Resource Considerations
A list of Council’s cash and investments held at 30 November 2025 is detailed below:
|
Table 1: Cash and Investments Listing |
||||||
|
Issuer |
Rating |
Type |
Purchase Date |
Maturity Date |
Interest Rate (%) |
Capital Value ($) |
|
Westpac |
AA- |
TD |
29/02/2024 |
16/12/2025 |
4.8800 |
5,000,000.00 |
|
Australian Military Bank |
BBB+ |
TD |
24/06/2025 |
19/12/2025 |
4.4100 |
5,000,000.00 |
|
BOQ |
A- |
TD |
11/01/2024 |
12/01/2026 |
4.8500 |
2,000,000.00 |
|
NAB |
AA- |
TD |
18/12/2024 |
14/01/2026 |
4.9700 |
5,000,000.00 |
|
NAB |
AA- |
TD |
28/01/2025 |
28/01/2026 |
4.9000 |
2,500,000.00 |
|
Westpac |
AA- |
TD |
08/02/2024 |
09/02/2026 |
4.8400 |
5,000,000.00 |
|
ING Bank (Australia) Ltd |
A |
TD |
11/03/2024 |
11/03/2026 |
4.8500 |
5,000,000.00 |
|
NAB |
AA- |
TD |
18/12/2024 |
15/04/2026 |
4.8900 |
2,000,000.00 |
|
Westpac |
AA- |
TD |
28/06/2024 |
28/04/2026 |
5.2000 |
2,500,000.00 |
|
NAB |
AA- |
TD |
24/06/2025 |
04/05/2026 |
4.1900 |
5,000,000.00 |
|
ING Bank (Australia) Ltd |
A |
TD |
25/09/2024 |
25/05/2026 |
4.5300 |
5,000,000.00 |
|
BOQ |
A- |
TD |
31/01/2024 |
26/05/2026 |
4.8000 |
2,000,000.00 |
|
Westpac |
AA- |
TD |
25/02/2025 |
15/06/2026 |
4.6200 |
5,000,000.00 |
|
BOQ |
A- |
TD |
28/05/2024 |
28/07/2026 |
5.0000 |
5,000,000.00 |
|
ING Bank (Australia) Ltd |
A |
TD |
26/08/2024 |
18/08/2026 |
4.6200 |
3,000,000.00 |
|
NAB |
AA- |
TD |
30/06/2025 |
20/08/2026 |
4.0500 |
5,000,000.00 |
|
Westpac |
AA- |
TD |
06/09/2023 |
07/09/2026 |
4.8800 |
3,000,000.00 |
|
Westpac |
AA- |
TD |
30/09/2025 |
30/09/2026 |
4.1700 |
5,000,000.00 |
|
NAB |
AA- |
TD |
30/05/2025 |
14/10/2026 |
4.1000 |
4,000,000.00 |
|
NAB |
AA- |
TD |
26/11/2024 |
05/11/2026 |
4.8000 |
3,000,000.00 |
|
BOQ |
A- |
TD |
28/05/2024 |
26/11/2026 |
4.9500 |
5,000,000.00 |
|
Hume Bank |
BBB+ |
TD |
26/08/2024 |
08/12/2026 |
4.5500 |
5,000,000.00 |
|
Westpac |
AA- |
TD |
30/09/2025 |
06/01/2027 |
4.1400 |
4,000,000.00 |
|
Suncorp Bank |
AA- |
TD |
11/01/2024 |
11/01/2027 |
4.8800 |
2,000,000.00 |
|
NAB |
AA- |
TD |
25/02/2025 |
25/02/2027 |
4.5500 |
5,000,000.00 |
|
ING Bank (Australia) Ltd |
A |
TD |
25/09/2024 |
25/03/2027 |
4.5000 |
2,000,000.00 |
|
NAB |
AA- |
TD |
26/02/2025 |
05/04/2027 |
4.5000 |
5,000,000.00 |
|
BOQ |
A- |
TD |
20/03/2025 |
11/05/2027 |
4.4900 |
3,000,000.00 |
|
BOQ |
A- |
TD |
06/03/2025 |
11/05/2027 |
4.5500 |
3,000,000.00 |
|
Westpac |
AA- |
TD |
28/02/2025 |
16/06/2027 |
4.5000 |
3,000,000.00 |
|
BOQ |
A- |
TD |
20/03/2025 |
08/07/2027 |
4.4900 |
2,000,000.00 |
|
BOQ |
A- |
TD |
06/03/2025 |
08/07/2027 |
4.5500 |
2,000,000.00 |
|
NAB |
AA- |
TD |
29/08/2025 |
19/08/2027 |
3.9500 |
5,000,000.00 |
|
BOQ |
A- |
TD |
28/02/2025 |
13/10/2027 |
4.5000 |
2,000,000.00 |
|
BankVic |
BBB+ |
TD |
15/10/2025 |
15/10/2027 |
4.2000 |
3,000,000.00 |
|
ING Bank (Australia) Ltd |
A |
TD |
24/06/2025 |
30/08/2028 |
4.0100 |
2,000,000.00 |
|
BankVic |
BBB+ |
TD |
25/09/2025 |
25/09/2028 |
4.0800 |
2,000,000.00 |
|
ING Bank (Australia) Ltd |
A |
TD |
28/02/2025 |
28/02/2029 |
4.7000 |
2,000,000.00 |
|
ING Bank (Australia) Ltd |
A |
TD |
30/05/2025 |
13/06/2029 |
4.2400 |
5,000,000.00 |
|
Commonwealth Bank |
AA- |
CASH |
30/11/2025 |
30/11/2025 |
3.6000 |
10,714,124.64 |
|
Commonwealth Bank |
AA- |
CASH |
30/11/2025 |
30/11/2025 |
3.6500 |
3,000,000.00 |
|
NSWTC IM SCF |
AA- |
CASH |
30/11/2025 |
30/11/2025 |
0.0000 |
146,845.87 |
|
Totals |
154,860,970 |
|||||
|
Table 2: Interest from Cash and Investments |
|
|
Interest earned for November 2025 |
$526,915 |
|
Financial year to date interest earned |
$2,855,391 |
|
*Revised Budgeted interest for 2025/2026 financial year |
$4,620,000 |
|
Percentage of the 2025/2026 budget earned by Council |
62% |
Council’s investment portfolio is largely directed towards term deposits (91.05%). The remainder of the portfolio is held in cash deposit accounts with CBA and TCorp (8.95%).
The investments held by Council remain sufficiently liquid with 63% of investments maturing within the next 12 months.
Council’s cash and investment portfolio has a weighted average maturity of 332 days.
For the month of November, the investments held by Council provided a return of 4.73% p.a. This annualised performance exceeded the monthly RBA cash rate of 3.60% and the AusBond Bank Bill Index of 3.66%. The below table represents the annualised performance of council’s investment portfolio.

With the potential for interest rate cuts in the future and the maturing of higher yielding term deposits Council has been attempting to lock in rates across 1–5-year tenors. This aims to provide some protection against potential lowering rates.
Council continues to utilise the platform Imperium Markets, to assist in conducting, managing, and reporting on Council’s investments. This provides an automated process of sourcing quotes and investing monies which is allowing Council to better address investment risks. Additional to the platform, Arlo Advisory provide investment advice on the surrounding market conditions and how Council can maximise returns within the Ministerial Order and Council’s investment policy.
|
Table 3: Investments by Fund $’000 |
|||
|
September-2025 |
October-2025 |
November-2025 |
|
|
61,308 |
54,840 |
59.058 |
|
|
Water Fund |
29,155 |
28,937 |
26.587 |
|
Sewer Fund |
69,851 |
70,221 |
69.216 |
|
TOTAL |
160,314 |
153,998 |
154.861 |
Each Fund’s allocation can only be utilised for its specific operations. For example, Water Fund cannot use its financial resources on General Fund projects.
Included in the General Fund investments are amounts that are externally restricted for specific purposes, i.e. contributions and unspent grants. In addition, there are amounts that are internally restricted by Council.
The value of outstanding government grant debtors on 30 November 2025 is $818,870 with $3,496 aged 4+ months. Council continues to work with our funding partners to keep these debts minimised.
Legal /Policy
Section 625 of the Local Government Act 1993 (LG Act) determines money may only be invested in a type of investment authorised by Order of the Minister for Local Government and published in the Local Government Gazette. The current Ministerial Order of Investment was published 17 February 2011.
Clause 212 of the Local Government (General) Regulation 2021 (LG Regulations) determines the Responsible Accounting Officer must provide Council with a written report setting out details of all money Council has invested under Section 625 of the LG Act.
The report must also include a Certificate as to whether the investments have been made in accordance with the LG Act, LG Regulations and Council’s Investment Policy.
Council has an Investment Policy (policy number 6.07) adopted on 27 November 2024. The policy is reviewed every four years by Council and annually by Council officers.
Impacts on Strategic/Operational/Asset Management Plan/Risk
Strategic Alignment
This report is provided in accordance with Council’s Community Strategic Plan (CSP), 2025-2029 Delivery Program and operational Plan activities
CSP Strategy: E.3 Government services have well -governed financial and strategic management processes to ensure ongoing viability and value for money.
This reporting supports the implementation of Council’s adopted Delivery Plan 2025-2029 as identified through the following core business activity undertaken by the finance team to:
· Manage Council’s borrowings and investments in accordance with Council’s Financial Strategy
Environment and Climate Change
Council considers the importance of environmental, social and governance factors in investment decision making.
As at 30 November 2025, Council’s investment portfolio included $10 million of green certified investments.
Economic
Council’s investment policy objective is to maximise returns by investing with the most favourable rate of return. Performance of investments are reported monthly, quarterly and annually.
Risk
Council policies have strict guidelines to reduce Council’s risk to capital. The following graphs provide representation of Council’s compliance to these measures.
Risk management means our investments are made giving regard to key criteria of counterparty, credit quality and maturity compliance.
At 30 November 2025, all cash and investments held are within the counterparty, credit quality and maturity policy limits.
Other legal instruments, such as the Ministerial Order referenced above, are also being used to mitigate financial risk.
Legend: Compliant Non-compliant



Social / Cultural
Maximising performance of returns enables the organisation to leverage additional funding received as a result of investment performance and use these towards community projects, programs and services.
Attachments
Nil
|
Council |
10 December 2025 |
Staff Reports - Executive
10 December 2025
11.1 Customer Experience Framework and Improvement Plan including Values Refresh 341
Council 10 December 2025 |
Item 11.1 |
11.1. Customer Experience Framework and Improvement Plan including Values Refresh
This report seeks adoption of the previously exhibited Customer Experience Framework and associated revised policies and procedures. It provides an update on customer experience improvements that support the new organisational values and outlines a forward improvement and monitoring program for customer experience with Council.
Chief Executive Officer
1. That Council adopt the recently exhibited policies, procedures and customer service charter that are the foundational elements of the customer experience framework including:
a. Draft policy 6.13 Customer Service Standards (Attachment 1)
b. Draft Procedure 6.02.06 Compliments (Attachment 2)
c. Draft Procedure 6.02.11 Complaints (Attachment 3)
d. Draft Procedure 6.02.12 Managing Unreasonable Conduct by Complainants (Attachment 4)
e. Draft Customer Service Charter (Attachment 5)
2. That Council:
a. Endorse the new vision “We act for both today and tomorrow, ensuring our work strengthens our community and safeguards our place for future generations” and,
b. endorse the new and values of “Teamwork, Accountability, People”
c. Receive and note the information as outlined in this report that detail the recommended vision and values to in support of improving customer experience.
3. That Council note the update on customer experience improvement initiatives and that future updates will be provided on a quarterly basis.
Executive Summary
This report seeks adoption of the revised policies, procedures and customer service charter to support Council’s priority of improving customer experience through all interactions and communication between council representatives and our community. It also presents a new organisational vision and values for endorsement.
The framework consolidates and refines existing governance documents to improve customer service delivery and organisational accountability. Included is the Customer Service Charter that outlines how we will measure our success. The report also provides an update on customer experience improvement initiatives underway.
Background
The Customer Experience (CX) Framework that has been exhibited was developed to align existing strategies, policies, and procedures under a unified approach and support Council’s commitment to delivering exceptional customer service. The CX Framework includes:
i. Digital Strategy
ii. Community Engagement Strategy
iii. Delivery Program and Operational Plan
iv. Customer Service Charter
v. Customer Service Standards
vi. Revised policies and procedures
vii. Staff training and development
viii. Strategic guiding principles
The framework provides clear expectations for customer interactions and supports continuous improvement in service delivery. It represents a new approach to aligning existing systems and processes and will:
1. Provide overall direction for all councillors, staff and contractors on their responsibilities in delivering customer service.
2. Provide guidance in implementing and managing an improved customer experience.
3. Achieve organisational commitments and standards adopted by Council for ongoing delivery of a customer-centric orientated organisation.
4. Enable Council to link service delivery with our strategic guiding principles.
5. Align our customer service standards to the Community Strategic Plan (CSP), Delivery Program (DP) and Operational Plan (OP).
Importantly, the Customer Service Charter includes a commitment to evaluating our performance. This is documented in the Charter as:
How we will evaluate our performance
We will benchmark ourselves against the following standards:
· Answering your calls to our Customer Service Centre within 30 seconds.
· Respond to 80% of calls to our Customer Service Centre at first contact.
· Less than 10% of calls will be disconnected by the customer before speaking to a council officer.
· Return telephone messages by close of business the following working day.
· Respond to your written correspondence within 5 working days and provide ongoing updates until resolution;
· Council’s website content will be reviewed every 6 months
· Notify you when the matter has been closed or provide an update within 10 days.
Provide 5 days notice for any planned changes to operating hours.
In addition to the above, Council has several other inter-related projects and initiatives in progress aimed at improving different aspects of customer experience. These include:
· Development Assessment Service Review which is anticipated to be finalised early in the new calendar year and include improvement recommendations to the development assessment service broadly but also includes recommendations specific to customer experience in that service area.
· Good data, good governance – this initiative is aimed at improving the quality, consistency and utilisation of data to improve every aspect of Councils operations including how our community and customers experience their interactions with Council
· An improved project management framework with a focus on how we improve stakeholder engagement associated with planning for and delivering projects
· A website update and refresh went live last week
· Implementation of organisational restructure that included aligning the corporate planning, communications/engagement and customer service functions under one manager reporting direct to the CEO.
The above initiatives are also being monitored by Councils Audit, Risk and Improvement Committee (ARIC).
Refresh of Bega Valley Shire Council’s Organisational Vision and Values
In addition to the Customer Experience Framework Council has been undertaking a vision and values refresh. Council has had organisational values in place for the best part of a decade with those values being People Matter, Learning is Important, Can Do and Engaging the Whole Organisation. These values are predominantly internally focused and have served the organisation well, however a lot has changed within our organisation, our community and society more broadly since those values commenced.
At the 6 November 2024 Council meeting Council resolved:
That Council commit to developing a new value set applicable to Councillors and staff as part of the current strategic planning process that sets the direction for how council will be more fair, accountable, transparent and professional during the current four year term.
Over recent months Council has been working with an external facilitator to develop a new vision and values that are representative of all of Council including staff and elected officials. It is important to note that this vision is not intended to replace the community vision in the community strategic plan rather, it will guide how Council supports its community through service provision and advocacy.
The new Council vision presented for endorsement is:
We act for both today and tomorrow, ensuring our work strengthens our community and safeguards our place for future generations.
It should also be noted that another option recommended for consideration by the facilitator was:
We are a community for our community- people first, future focused, working together.
The new values and associated descriptors presented for endorsement are:
Teamwork – We work as a team, bringing people and ideas together to strengthen our organisation and serve our community effectively.
Accountability – We do what we say we will, own our work, and are transparent in how we operate.
People - We put people at the centre of everything we do. We listen, engage, and act with respect and kindness, recognising that our actions have an impact on those around us.
Options
In considering this report, Council has the following options:
1. Resolve to support the recommendations in the report
2. Resolve to defer some or all of the recommendations
3. Resolve to undertake a different course of action to that recommended
Community and Stakeholder Engagement
Engagement undertaken
Customer experience was identified as a strategic priority by Councillors in November 2022, prompting a review of existing initiatives and documents. This led to the decision to develop a framework instead of a standalone strategy to consolidate and streamline Council’s approach to customer service.
In developing the framework, valuable input was received from Shellharbour City Council, known for their strong customer experience practices. Internal engagement included workshops with Councillors (March 2024, July 2024, February 2025), and consultation with the Leadership Executive Group, Senior Leadership Group, Customer Service Team, Records Team, and Governance staff. All sessions held have contributed to the refinement of the framework and ensure alignment with operational needs.
On 27 November 2024 Council resolved (180/24):
1. That staff provide a report outlining current review pathways for different types of operational decisions.
2. That the report includes recommendations to improve the process of requesting review of a decision based on best practice.
3. That council workshop the recommendations.
A workshop was held with Councillors on 14 May 2025. The following recommendations were made by staff regarding review pathways for operational decisions:
· Formalise 3-Level Escalation Model: Implement structured approach from frontline resolution to external review
· Expand External Review Options: Include Alternative Dispute Resolution (ADR), independent investigation, and clear appeal pathways.
· Enhance Transparency: Clearly communicate external review options to complainants
· Continuous Improvement: Monitor complaints data and use external review insights to improve processes.
Following this discussion, the draft complaints procedure (Attachment 3) was updated.
Following the 20 August 2025 resolution of Council, the customer experience framework documentation was publicly exhibited from 21 August 2025 until 17 September 2025 with no submissions received during that time.
In developing Councils vision and values the facilitators undertook a series of workshops with Councillors and staff as well as surveys to guide the recommended vision and values. A further workshop was held with Councillors on 3 December 2025.
Engagement planned
There is no further direct engagement with Councillors and the community associated with the recommendations in this report. Embedding of the Customer experience improvement program will be presented to Council in line with regular corporate reporting quarterly updates.
Following the adoption of the CX Framework, Vision, and Values, their implementation as corporate standards will necessitate extensive stakeholder engagement. Significant resources will be required to update all organisational documents referencing Council’s values and to embed these standards into corporate induction programs and ongoing training. Ongoing engagement on the CX Framework will ensure that all Council representatives understand and actively demonstrate our commitment to being a customer-centric organisation.
Financial and Resource Considerations
There are no direct additional financial implications associated with this report noting that the values refresh and DA service review are being delivered within existing already adopted budgets.
Legal /Policy
The Customer Experience Framework and supporting policies and procedures presented in this report provides clear guidelines for customer interactions. This clarity supports Council in meeting its legal and policy obligations, reduces the risk of non-compliance, and strengthens governance practices.
The framework incorporates a formalised three-level escalation model for complaints handling, aligned with NSW Ombudsman guidelines:
· Level 1: Frontline resolution by customer service staff.
· Level 2: Review by senior staff or designated complaints officers.
· Level 3: Referral to external review mechanisms such as the NSW Ombudsman, ICAC, NCAT, or the Office of Local Government.
This structure ensures transparency, fairness, and accountability in managing complaints and supports Council’s obligations under the Public Interest Disclosures Act 2022 and the Local Government Model Code of Conduct.
In addition, the service review being undertaken for development assessment will strengthen council’s approach in understanding an end-to-end service delivery process. Any learnings from this review will be incorporated into council’s corporate procedures and training.
Impacts on Strategic/Operational/Asset Management Plan/Risk
Strategic Alignment
The framework documents Council’s commitment to customer service and community satisfaction. An action plan (as part of Policy 6.13 Customer Service Standards) has been proposed to support implementation and cultural change. It aligns with the Community Strategic Plan, Delivery Program, and Operational Plan, and reinforces Council’s strategic guiding principles.
Training programs are embedded in the framework to ensure staff are aware of their legal and policy responsibilities, supporting high standards of service and compliance.
Environment and Climate Change
There are no environmental impacts associated with this report.
Economic
There are no economic impacts associated with this report.
Risk
The framework introduces mechanisms for tracking and documenting customer interactions, enhancing transparency and accountability that support management of reputational risk.
It supports early identification and resolution of issues, reduces legal risk, and promotes consistent complaint handling aligned with policy and legislation.
The framework also outlines clear external review pathways, including:
i. NSW Ombudsman
ii. ICAC
iii. Land and Environment Court
iv. Information and Privacy Commission
v. NCAT
vi. Office of Local Government
These mechanisms provide independent oversight and support continuous improvement through feedback and systemic analysis.
Social / Cultural
The framework promotes consistent and fair treatment of customers, supports community engagement, and aligns services with public expectations. It fosters trust and confidence in Council through improved communication and service standards in line with Council’s strategic guiding principles.
Attachments
1⇩. Draft policy 6.13 Customer Service Standards
2⇩. Draft Procedure 6.02.06 Compliments
3⇩. Draft Procedure 6.02.11 Complaints
4⇩. Draft Procedure 6.02.12 Managing Unreasonable Conduct by Complainants
5⇩. Draft Customer Service Charter
|
10 December 2025 |
|
|
Item 11.1 - Attachment 4 |
Draft Procedure 6.02.12 Managing Unreasonable Conduct by Complainants |

|
Council |
10 December 2025 |
Councillor Reports
10 December 2025
12.1 Cr O’Neil – Four Festivals: Giiyong, Headland Writers, Spring Music Youth and Bega Streetlight Festival............................................................................................. 415
|
Item 12.1 |
12.1. Cr O’Neil – Four Festivals: Giiyong, Headland Writers, Spring Music Youth and Bega Streetlight Festival
The Bega Valley Shire has celebrated four festivals including Giiyong, Headland Writers, Spring Music Youth and Bega Streetlight Festival Over the past few weeks
Cr Helen O’Neil
We have celebrated four festivals, which showcased Bega Valley shire’s creative strengths, professional musicianship, community engagement and immense potential for cultural tourism.
Three of them – Giiyong Festival at Jigamy, The Headland Writers Festival at Tathra, and the Bega StreetLight Festival - involved South East Arts, Council’s long term partner organisation for delivery of our arts and cultural strategy. The South East Centre for Contemporary Art was a venue for Streetlight too. The fourth is a longstanding collaboration between music teachers across our schools and the world class music venue Four Winds.
Headland Writers Festival is a partnership between Candelo Books, Tathra Hotel and South East Arts that showcases local writers and poets, brings some of Australia’s best writers to meet local audiences, and sparks discussion about good stories, our history and our future. It fills up the town with locals and tourists. Now well established, it is a regular favourite for many authors and publishers.
The 2025 Bega Streetlight Festival was a premiere event but will be back for another two years. Transforming Carp Street with illuminations, music, buskers and local food and beverages it was a showcase for the whole community and local business. Hundreds of performers were involved, with a special shout out to the talented Bega High students, alongside professional and amateur photographers who entered the shopwindow competition, and there were workshops at Spiral Gallery and SECCA. This partnership brought the Bega Chamber of Commerce and South East Arts together with the Council, backed with funding from Transport for NSW.
Giiyong Festival was the first of its kind in NSW when it began in 2018. Now it is both a cultural celebration for our First Nations locals, and an amazing musical experience with some of the best bands and DJs in the country. It has such deep roots in local dance, food and storytelling and Jigamy Farm shows again what a wonderful place the Bega Valley is for gathering people together. This year saw Twofold Aboriginal Corporation take the Lead Producer role, supported by South East Arts and the Eden Local Aboriginal Land Council – and it will be leading this festival into the future too.
I could mention many more festivals and events, venues and shows. Here’s just one – last month’s Spring Youth Music Festival, SYMF, which featured everything from heavy metal to Cellissimo (so many cellos) and some great collaborations between student singers and professional backing artists. At Four Winds (and I will declare a personal interest here because my husband is on its Board of Directors), this Festival is all about future musical talent meeting professional musicians and directors. It creates pathways in the regions for young people’s creative careers. It works because of the dedicated teachers in this shire.
Sapphire Coast Tourism has dubbed the Bega Valley Shire “Wonderfully Wild” – and this brand is all about saying we have a stunning natural environment, but so much more. Cultural tourism really is a big drawcard because of our strength in the arts. These four recent events tie community arts, professional artists and local energy together in a way that shows just what Wonderfully Wild means in real life. Roll on 2026 for more!
Attachments
Nil
|
Council |
10 December 2025 |
Notices of Motion
10 December 2025
14.1 Merimbula Tennis Club request for rate exemption........................................ 418
|
Item 14.1 |
14.1. Cr Mitchell Nadin - Merimbula Tennis Club request for rate exemption
That Council:
1. In accordance with Section 356 of the Local Government Act 1993, provides financial assistance to the Merimbula Tennis Club by donating the full amount of land rates, water and sewer charges currently owing for Financial Year 2025 ($5,148.90) and Financial Year 2026 ($5,426.95) being $10,575.85 in total
2. That public notice of this resolution be undertaken for 28 days
3. record the donation transparently in Council’s financial reporting
Background
The Merimbula Tennis Club is a valued community facility that provides recreational and social benefits to residents and visitors. The Club currently owes land rates as well as sewer and water charges to Council. Under Section 356 of the Local Government Act 1993 (NSW), Council may provide financial assistance to individuals or organisations for the purpose of exercising its functions, including by waiving or donating amounts owing, subject to compliance with statutory requirements. It should also be noted that the club is not for profit and reinvests the money they earn through memberships and fees into the operation and maintenance of the club, which the council would have to finance and administer if the club was to fold.
Staff Response
Council has considered the clubs request for rates exemption under the Local Government Act and the Club is not eligible. To demonstrate that it manages the property as a public reserve, Council officers have requested for the Club to provide information and evidence that supports this definition.
It is noted that We have paused all rates for 2024–25 period as per Council's resolution on 16 April 2025. The resolution did not include waiving or suspending rates. At that time, Council also agreed to reduce the water meter size from 50mm to 20mm at Council’s expense; this was completed.
In compliance with legislative requirements, we have continued issuing rate notices until the exemption application was completed and reviewed (the subject of the email dated 07/11/2025). Any approved changes will be backdated to the original rating period commencing 1 July 2024.
No interest has been charged on the unpaid rates account and we have advised MTC that, regardless of the outcome of the exemption application, charges for waste, water, and sewer services will remain payable, as is standard for all properties within the shire, whether rateable or non-rateable.
Council has continued to pay the water usage charges at Merimbula Tennis Club and they have made no payments to Council for any rates or charges at 1 Kalinda Street, Merimbula.
Providing financial assistance by waiving or reducing land rates and water charges will result in a direct reduction in Council’s actual revenue. Under the rate pegging system administered by IPART, Council’s permissible income—the maximum amount of general income it can raise from rates—remains unchanged even if waivers are granted.
This means:
· The foregone revenue cannot be recovered by increasing other rates beyond the rate peg without an approved special variation.
· Council must absorb the shortfall within its existing budget or adjust expenditure accordingly.
· While legally permissible under Section 356, discretionary waivers can place additional pressure on Council’s financial sustainability, particularly given the constraints of rate pegging and limited capacity to raise revenue.
Cr Mitchell Nadin
Attachments
Nil
|
Council |
10 December 2025 |
Questions with Notice
10 December 2025
15.1 Cr Haggar - Native Forest Logging on Private Lands......................................... 421
|
Item 15.1 |
15.1. Cr Haggar - Native Forest Logging on Private Lands
Can staff provide an update on the project underway to review the permissibility of Private Native forestry in the RU2 zone in light of the passage of the Environment Protection Reform Act 2025 and the major changes to the framework of the forestry industry that will follow from it.
Given that the legal framework that underpinned Private Native Forestry on RU2 is now in doubt is it possible to act prudently and halt the review.
Cr Peter Haggar
Staff response:
The Environment Protection Reform Bill 2025 was passed by the Australian Parliament on 28 November 2025. The summary on the Australian Parliament website states:
“…the bill amends the Environment Protection and Biodiversity Conservation Act 1999 to: streamline the assessment and approvals process; update provisions relating to accreditation and bilateral agreements; provide for bioregional plans; provide a framework for the Minister to make, vary and revoke national environmental standards; make it clear that projects with unacceptable impacts on nationally protected matters can no longer be approved; prevent a project being approved unless all residual significant impacts of the action on nationally protected matters have been compensated to a net gain; provide a mechanism for projects that are in the national interest to be approved even if they do not meet certain requirements; allow conditions to be attached to taking an action covered by a national interest exemption; amend provisions relating to reconsiderations; update provisions relating to conservation planning and heritage; update compliance and enforcement powers; and make administrative amendments.”
The full implications of this are not yet known however staff will monitor the developments for any significant implications for Council’s work, noting that currently the Commonwealth Environment Protection and Biodiversity Conservation Act 1999 (EPBC Act) sits parallel to Council’s assessment of biodiversity values under NSW legislation. As such, the Bill will not impact Council’s ability to change the LEP to include private native forestry in the RU2 land use zone, should it resolve to do so in the future, however could change how private native forestry is undertaken.
Council’s RU2 Forestry scoping project is progressing in line with the Council resolution from May 2025. A contract has been awarded to Gyde Consulting to prepare the Scoping Report. The project is on track to report to Council by mid 2026. Any analysis of the Commonwealth framework is currently out of scope of this project, however staff will discuss this at a high level to see if there is any relevance to this project.
Attachments
Nil
|
Council |
10 December 2025 |
Questions without Notice
10 December 2025
16.1 Cr Haggar - Secondary dwellings progress and public notification................... 423
Council 10 December 2025 |
Item 17.1 |
16.1. Cr Haggar - Secondary dwellings progress and public notification
At the ordinary council meeting of 11 November 2025 Cr Haggar asked how the 15 October 2025 Council meeting resolution 169/25 regarding the waiving of certain contributions for secondary dwellings is progressing and how/when Council intends on notifying the public?
Chief Executive Officer, Mr Anthony McMahon took the question on notice but also advised that public notification was planned to go out soon.
Director Community Environment and Planning
Staff response
Under s610E and s610F of the Local Government Act 1993, councils are required to exhibit proposed waivers of fees and charges for 28 days.
Following the Council resolution of 15 October 2025, the necessary communication materials were developed to exhibit the proposed waiver. The exhibition period closes on 11 December 2025. If no objections are received, the wavier will the come into effect. If objections are received, a further report to Council may be required.
A media release was issued on 13 November 2025 informing the community of the proposed changes and public exhibition process: Council supports new measures to boost local housing options - Bega Valley Shire Council
Once the waiver has come into effect, Council staff will notify the development professionals group and consider further general communication. Importantly, staff have already been contacted by a number of the development professionals seeking clarification of when and how the waiver can be accessed.
A separate report will be provided to Council at the 10 December 2025 Council meeting to seek a decision on the small number of DAs that were levied s7.11 contributions between the adoption of the new developer contributions plan and the fee waiver coming into effect.
Attachments
In accordance with the Local Government Act 1993, and the Local Government (General) Regulation 2005, in the opinion of the General manager, the following business is of a kind as referred to in Section 10A(2) of the Act, and should be dealt with in a Confidential Session of the Council meeting closed to the press and public.
That Council adjourn into Closed Session and members of the press and public be excluded from the meeting of the Closed Session, and access to the correspondence and reports relating to the items considered during the course of the Closed Session be withheld unless declassified by separate resolution. This action is taken in accordance with Section 10A(2) of the Local Government Act, 1993 as the items listed come within the following provisions:
16.1 Chief Executive Officer Performance Review and Performance Plan
Reason for Confidentiality
This item is classified CONFIDENTIAL under the provisions of Section 10A(2) of the Local Government Act, which permits the meeting to be closed to the public for business relating to (a) personnel matters concerning particular individuals.