|
OrdinaryMeeting Notice and Agenda
An Ordinary Meeting of the Bega Valley Shire Council will be held at Council Chambers, Biamanga Room Bega Valley Commemorative Civic Centre Bega on Wednesday, 25 February 2026 commencing at 2:00pm to consider and resolve on the matters set out in the attached Agenda.
|
Council meetings are recorded and live streamed to the Internet for public viewing. By entering the Chambers during an open session of Council, you consent to your attendance and participation being recorded.
The recording will be archived and made available on Council’s website www.begavalley.nsw.gov.au. All care is taken to maintain your privacy; however as a visitor of the public gallery, your presence may be recorded.
The Agendas for Council Meetings and Council Reports for each meeting will be available to the public on Council’s website as close as possible to 5.00 pm on the Thursday prior to each Ordinary Meeting. A hard copy is also made available at the Bega Administration Building reception desk and on the day of the meeting, in the Council Chambers.
The Minutes of Council Meetings are available on Council's Website as close as possible to 5.00 pm on the Monday after the Meeting.
1. Please be aware that the recommendations in the Council Meeting Agenda are recommendations to the Council for consideration. They are not the resolutions (decisions) of Council.
2. Background for reports is provided by staff to the Chief Executive Officer for presentation to Council.
3. The Council may adopt these recommendations, amend the recommendations, determine a completely different course of action, or it may decline to pursue any course of action.
4. The decision of the Council becomes the resolution of the Council, and is recorded in the Minutes of that meeting.
5. The Minutes of each Council meeting are published in draft format, and are confirmed by Councillors, with amendments if necessary, at the next available Council Meeting.
If you require any further information or clarification regarding a report to Council, please contact Council’s Executive Assistant who can provide you with the appropriate contact details
Phone (02 6499 2222) or email execassist@begavalley.nsw.gov.au.
· Is the decision or conduct legal?
· Is it consistent with Government policy, Council’s objectives and Code of Conduct?
· What will the outcome be for you, your colleagues, the Council, anyone else?
· Does it raise a conflict of interest?
· Do you stand to gain personally at public expense?
· Can the decision be justified in terms of public interest?
· Would it withstand public scrutiny?
A conflict of interest is a clash between private interest and public duty. There are two types of conflict:
· Pecuniary – regulated by the Local Government Act 1993 and Office of Local Government
· Non-pecuniary – regulated by Codes of Conduct and policy. ICAC, Ombudsman, Office of Local Government (advice only). If declaring a Non-Pecuniary Conflict of Interest, Councillors can choose to either disclose and vote, disclose and not vote or leave the Chamber.
· Is it likely I could be influenced by personal interest in carrying out my public duty?
· Would a fair and reasonable person believe I could be so influenced?
· Conflict of interest is closely tied to the layperson’s definition of ‘corruption’ – using public office for private gain.
· Important to consider public perceptions of whether you have a conflict of interest.
1st Do I have private interests affected by a matter I am officially involved in?
2nd Is my official role one of influence or perceived influence over the matter?
3rd Do my private interests conflict with my official role?
For more detailed definitions refer to Sections 442, 448 and 459 or the Local Government Act 1993 and Bega Valley Shire Council (and Model) Code of Conduct, Part 4 – conflict of interest.
Whilst seeking advice is generally useful, the ultimate decision rests with the person concerned.Officers of the following agencies are available during office hours to discuss the obligations placed on Councillors, officers and community committee members by various pieces of legislation, regulation and codes.
|
Contact |
Phone |
|
Website |
|
Bega Valley Shire Council |
(02) 6499 2222 |
council@begavalley.nsw.gov.au |
www.begavalley.nsw.gov.au |
|
ICAC |
8281 5999 Toll Free 1800 463 909 |
icac@icac.nsw.gov.au |
www.icac.nsw.gov.au |
|
Office of Local Government |
(02) 4428 4100 |
olg@olg.nsw.gov.au |
http://www.olg.nsw.gov.au/ |
|
NSW Ombudsman |
(02) 8286 1000 Toll Free 1800 451 524 |
nswombo@ombo.nsw.gov.au |
Under the provisions of Section 451(1) of the Local Government Act 1993 (pecuniary interests) and Part 4 of the Model Code of Conduct prescribed by the Local Government (Discipline) Regulation (conflict of interests) it is necessary for you to disclose the nature of the interest when making a disclosure of a pecuniary interest or a non-pecuniary conflict of interest at a meeting.
The following form should be completed and handed to the Chief Executive Officer as soon as practible once the interest is identified. Declarations are made at Item 3 of the Agenda: Declarations - Pecuniary, Non-Pecuniary and Political Donation Disclosures, and prior to each Item being discussed:
Council meeting held on __________(day) / ___________(month) /____________(year)
|
Item no & subject |
|
|
Pecuniary Interest
|
In my opinion, my interest is pecuniary and I am therefore required to take the action specified in section 451(2) of the Local Government Act 1993 and or any other action required by the Chief Executive Officer. |
|
Significant Non-pecuniary conflict of interest |
– In my opinion, my interest is non-pecuniary but significant. I am unable to remove the source of conflict. I am therefore required to treat the interest as if it were pecuniary and take the action specified in section 451(2) of the Local Government Act 1993. |
|
Non-pecuniary conflict of interest |
In my opinion, my interest is non-pecuniary and less than significant. I therefore make this declaration as I am required to do pursuant to clause 5.11 of Council’s Code of Conduct. However, I intend to continue to be involved with the matter. |
|
Nature of interest |
Be specific and include information such as : · The names of any person or organization with which you have a relationship · The nature of your relationship with the person or organization · The reason(s) why you consider the situation may (or may be perceived to) give rise to a conflict between your personal interests and your public duty as a Councillor. |
|
If Pecuniary |
Leave chamber |
|
If Non-pecuniary (tick one) |
Disclose & vote Disclose & not vote Leave chamber |
|
Reason for action proposed |
Clause 5.11 of Council’s Code of Conduct provides that if you determine that a non-pecuniary conflict of interest is less than significant and does not require further action, you must provide an explanation of why you consider that conflict does not require further action in the circumstances |
|
Print Name |
I disclose the above interest and acknowledge that I will take appropriate action as I have indicated above. |
|
Signed |
|
NB: Please complete a separate form for each Item on the Council Agenda on which you are declaring an interest.
|
25 February 2026 |
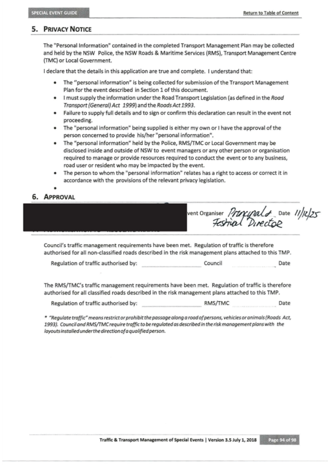
Statement of Ethical Obligations
Recommendation
That the Minutes of the Ordinary Meeting held on 28 January 2026 as circulated, be taken as read and confirmed.
Pecuniary, Non-Pecuniary and Political Donation Disclosures to be declared and tabled. Declarations also to be declared prior to discussion on each item.
8.1 Affordable Housing Strategy implementation progress report............................................... 9
8.2 Outcome of DA 2022.352 - Subdivision of land into 4 allotments - Lot 21 DP 843223 - 88 Kerrisons Lane BEGA.................................................................................................................................... 46
9.1 Request for Tender (RFT) 2425-129 Disaster Recovery Funding Arrangements (DRFA) Grading Works............................................................................................................................................ 49
9.2 Merimbula airport toilet block.................................................................................................... 53
9.3 Request for Tender (RFT) 2425-092 Mogilla Road retaining structure (DFRA) restoration works 83
9.4 Bega Valley Local Transport Forum 3 February 2026.............................................................. 88
9.5 Request for Tender (RFT) 2526-005 Merimbula CBD traffic trials...................................... 429
10.1 Bermagui Community Centre Licence Renewals................................................................... 432
10.2 Audit, Risk and Improvement Committee - Recruitment of Independent External Members 450
10.3 Request for financial assistance - waiver outstanding rates and charges......................... 454
10.4 Certificate of Investment January 2026................................................................................... 460
11.1 Delivery Plan 2025-2029 - October to December 2025 Quarterly Progress Report........ 467
11.2 Australian Local Government Association (ALGA) 2026 National General Assembly - call for motions..................................................................................................................................................... 524
14.1 Water bubblers............................................................................................................................ 553
14.2 Developing the Alice Street car park in Merimbula............................................................... 554
14.3 Cuttagee Bridge design and renewal progress....................................................................... 555
Representations by members of the public regarding closure of part of meeting
Adjournment Into Closed Session, exclusion of the media and public........................... 560
|
Council |
25 February 2026 |
Staff Reports – Community, Environment and Planning
25 February 2026
8.1 Affordable Housing Strategy implementation progress report............................ 9
8.2 Outcome of DA 2022.352 - Subdivision of land into 4 allotments - Lot 21 DP 843223 - 88 Kerrisons Lane BEGA........................................................................................... 46
|
Item 8.1 |
8.1. Affordable Housing Strategy implementation progress report
This report provides an update on implementation of the Affordable Housing Strategy from 1 July 2025 to 31 December 2025.
Director Community Environment and Planning
1. That Council notes the progress made in implementing the Bega Valley Shire Affordable Housing Strategy in the period 1 July 2025 to 31 December 2025.
2. That Council adopts the new Key Performance Indicators (KPIs) at Attachment 2 and notes the data provided as at 31 December 2025.
Executive Summary
This report provides an update on key progress against the Bega Valley Affordable Housing Strategy for the period 1 July 2025 to 31 December 2025. The full list of progress against each strategy is provided at Attachment 1.
It also provides recommended new KPIs for Council’s endorsement (Attachment 2). The new KPIs are recommended following extensive consultation with the Affordable Housing Implementation Group (AHIG) and .id (informed decisions)—the data platform Council subscribes to.
Background
Key progress from 1 July 2025 to 31 December 2025
The below list includes a summary of the key achievements in the reporting period:
· Affordable Housing Contributions Policy adopted by Council at 17 September 2025 Council meeting.
· Planning proposal for Bega urban expansion, accompanied by draft Affordable Housing Contribution Scheme, was exhibited for public comment. Review of feedback, including additional feedback from government agencies, is ongoing. If finalised, this planning proposal will facilitate approximately 2,200 residential dwellings through future development applications.
· Homes NSW redevelopment of former Bega TAFE site progressed with community consultation / public exhibition of the proposed development, including community drop-in sessions in Bega.
· Unhoused: Voices from the Threshold podcast was completed, including 6 episodes. The podcast aimed to raise awareness of the changing face of homelessness and break down stereotypes and barriers. The project was funded by the NSW Premier’s Department through a social cohesion grant.
· DA Modification to formalise 98 long term sites in an existing caravan park was approved on 5 November 2025.
· Director CEP and Manager Planning and Sustainability participated in a roundtable with the NSW Government (DPHI and Crown Lands), Local Aboriginal Land Councils and Snowy Monaro Regional Council regarding land activation for housing of lands under claim and LALC-owned land.
· Land activation for housing continued to be a key focus of BEM meetings.
Key advocacy during this reporting period includes:
· Lodged interest with Premier’s Department for a modular housing pilot with Landcom.
· Met with Building Commissioner and Cross Border Commissioner regarding prefabricated dwellings, upcoming legislative reform and actions to address building certifier skills gap on 15 September 2025.
· Ongoing advocacy to Building Commission and Department of Planning regarding moveable dwellings (seeking clarity on how Council can assess moveable dwellings).
· BVSC submitted a response to the parliamentary inquiry into rural housing and secondary dwelling reform.
The full list of progress against each strategy is at Attachment 1, with dated updates.
KPI progress
A number of KPIs were adopted as part of the Affordable Housing Strategy in 2022. These are available on page 20 of the strategy at: www.begavalley.nsw.gov.au/files/assets/public/v/1/our-community/documents/bvs_affordable_housing_strategy_may2022.pdf
Staff have subsequently found that data is not available for many of these KPIs. Additionally, the AHIG has advised the KPIs do not provide a clear picture of the situation in our shire or whether the actions in the strategy are having their desired effect.
As such, a proposed new draft set of KPIs was discussed with the AHIG. Relevant data was available on housing.id—a subset of profile.id which Council subscribes to—however it was not in a readily useable format. Staff subsequently engaged with .id (informed decisions) to seek updates to the platform to better suit our needs. Through sustained advocacy and engagement over the last 12-18 months, .id has recently undertaken significant updates to its platform and data to better suit our needs.
The most relevant of this data, along with data sourced from Council, Homes NSW and the Social Justice Advocates of the Sapphire Coast (SJA), is proposed to form the new KPIs. The updated KPIs provide practical insights into housing need, affordability, supply and delivery activity.
The housing.id platform also provides substantial insights beyond those presented in this report.
The proposed new KPIs are available at Attachment 2, for Council’s endorsement.
Should Council resolve to undertake a review of the actions in the AHS as part of the FY27 Delivery Plan and budget (as per Council resolution from 28 January 2026), the new proposed KPIs will be provided to the consultant as part of this review.
Group membership
Group membership includes representatives from Mission Australia, SEWACS, Southern Cross Housing, Social Justice Advocates, Homes NSW, Department of Communities and Justice, and a number of community members with urban planning or other housing or planning related experience and qualifications. The group also includes 2 Councillor representatives, is chaired by the Director Community, Environment and Planning, and Council’s CEO regularly attends.
History and previous reporting
The Bega Valley Shire Affordable Housing Strategy was adopted by Council in May 2022. It includes a commitment to report annually to Council and the community on progress against the strategies (actions) and KPIs adopted.
At the 21 September 2022 Council meeting, Council resolved to request 6 monthly reporting rather than yearly. Reports are provided to the Council meetings in February and August each year.
Options
It is recommended that Council note the progress made in implementing the Bega Valley Shire Affordable Housing Strategy in the period 1 July 2025 to 31 December 2025.
Community and Stakeholder Engagement
Engagement undertaken
KPIs
A proposed new draft set of KPIs were discussed with the AHIG at the December 2024 meeting and again in March 2025.
Based on feedback from the AHIG, staff subsequently engaged with .id (informed decisions) to seek updates to the housing.id platform to better suit our needs. Through sustained advocacy and engagement over the last 12-18 months, .id has recently undertaken significant updates to its platform and data to better suit our needs.
The current iteration of the proposed KPIs was shared with the AHIG via email on 21 January 2026. Feedback was received from 1 member which has been addressed in the refinement of the KPIs.
General
The Affordable Housing Strategy was endorsed by Council in May 2022 following an extensive public consultation process.
The Affordable Housing Implementation Group (AHIG) was established after an open expression of interest (EOI) process with members appointed by Council at the September 2022 meeting.
The AHIG has met as follows:
· 2022: October, December
· 2023: March, June, September, December
· 2024: March, June, December (note: September meeting did proceed due to caretaker)
· 2025: March, June, September, December
Engagement planned
The AHIG meets quarterly in line with the Terms of Reference. As such, the next meeting is scheduled for March 2026.
If the new KPIs are adopted by Council, reports will be provided against the KPIs in February and August each year to align with the 6-monthly reporting to Council.
Financial and Resource Considerations
There are no new financial or resource considerations based on the recommendations of this report, however it is important to note that some actions in the Affordable Housing Strategy will require specialist consultants which are not currently budgeted for. This will be reviewed annually during the Delivery Plan and Budget process.
Council’s annual delivery plan and budget includes facilitating the AHIG as a business as usual activity.
Legal /Policy
There are no new legal or policy considerations based on the recommendations of this report.
Impacts on Strategic/Operational/Asset Management Plan/Risk
Strategic Alignment
This report aligns with Council’s adopted Affordable Housing Strategy, Residential Land Strategy, and Community Strategic Plan (2025 Revision) including:
· A.3 Ensure growth and change in our towns and villages enhances character that reflects local identity, improves liveability, and supports community needs.
· A.8 Support opportunities for provision of diverse and affordable housing
· C.2 Ensure land use planning and resource use supports sustainable growth whilst protecting the quality of the natural environment and our rural landscapes.
Environment and Climate Change
There are no environmental or climate change impacts associated with the recommendations of this report.
Economic
There are no new economic impacts associated with the recommendations of this report.
Risk
There are no new risks associated with the recommendations of this report.
Social / Cultural
Having access to safe and affordable housing is a fundamental need that impacts on an individual’s ability to maintain employment, participate in society and form social connections.
There are no new social or cultural impacts associated with the recommendations of this report.
Attachments
1⇩. Affordable Housing Strategy Implementation Plan
2⇩. Affordable Housing Strategy KPIs February 2026
|
Item 8.2 |
8.2. Outcome of DA 2022.352 - Subdivision of land into 4 allotments - Lot 21 DP 843223 - 88 Kerrisons Lane BEGA
This report provides an update on DA2022.352 – Subdivision of land into 4 allotments – Lot 21 DP 843223 – 88 Kerrisons Lane Bega.
Director Community Environment and Planning
That Council note that DA2022.352 – Subdivision of land into 4 allotments – Lot 21 DP 843223 – 88 Kerrisons Lane Bega was determined by way of approval with conditions, and issued through the Planning Portal on 5 February 2026.
Executive Summary
In March 2025, Council resolved to defer consideration of DA 2022.352 – Subdivision of land into 4 allotments – Lot 21 DP 843223 – 88 Kerrisons Lane Bega at the request of the applicant, to ensure they had adequate time to address Council’s concerns.
Additional information has since been provided by the applicant and assessed by Council officers as satisfactory. Thus, development consent was issued through the Planning Portal under staff delegation on 5 February 2026.
Background
DA2022.352 was reported to Council on 19 February 2025, recommending refusal due to safety concerns relating to the proposed addition and location of an additional access off Kerrisons Lane. Council resolved to defer the decision to allow for a site visit by Councillors. This site visit occurred on 26 February 2025.
Following this, the applicant asked staff to defer determination to give them time to address Council’s concerns.
At the 19 March 2025 Council meeting, Council resolved to defer consideration of the DA in line with the applicant’s request.
The previous Council reports are available on the Council website:
- Agenda of Council - Wednesday, 19 February 2025 (Item 8.3)
- Agenda of Council - Wednesday, 19 March 2025 (Item 8.5)
The applicant subsequently submitted a revised lot layout where all allotments proposed access via the eastern entrance and was accompanied by a Safe Systems Assessment prepared by Rigore Engineering Services. The amended design improved the general allotment layout and includes closure of the existing driveway access onto Kerrisons Lane. The additional information provided by the Applicant sufficiently addressed Council staff safety concerns raised in the initial assessment.
As such, the DA has been approved under staff delegation with relevant conditions as per usual process. The Notice of Determination and stamped approved plans are available on Council’s online DA Enquiry: DA2022.352.
Options
There are no options associated with this report as it is for noting only.
Community and Stakeholder Engagement
Engagement undertaken
Information about public notification and submission and is available as part of the February 2025 Council report.
Re-notification of the amended plans was not deemed required as the changes sought to address the issues raised throughout the assessment of the original subdivision design.
The applicant was issued a Notice of Determination on 5 February 2026 through the NSW Planning Portal.
The submitter was advised of the Council staff determination.
Engagement planned
There is no further engagement planned regarding this development application as the applicant has already been notified of the decision.
Financial and Resource Considerations
Assessing development applications is part of Council’s business as usual processes and resourcing.
Legal /Policy
The DA was assessed in accordance with the Environmental Planning and Assessment Act 1979 as well Council’s development related policies and procedures.
Impacts on Strategic/Operational/Asset Management Plan/Risk
Strategic Alignment
The development is consistent with the Bega Valley Local Strategic Planning Statement Planning Priority 11: Housing, residential land development principle 1 for Rural residential development.
Environment and Climate Change
The impacts of the development on the environment, including impacts on biodiversity and climate change, were considered as part of the assessment process.
Economic
The impacts of the development on the economy are considered minor. The subdivision lot layout is consistent with the minimum allotment size for the site and is therefore considered to maximise the lot yield available for the site.
Risk
The assessment of development is a core function of Council. If the applicant is dissatisfied with the outcome of the assessment or any of the conditions of consent, they can seek a s8.2 review under the legislation.
Social / Cultural
The subdivision is consistent with the Bega Valley Local Strategic Planning Statement by providing additional allotments for rural residential purposes by minimising additional service provision and expansion of the urban/bushland interface. The development will contribute to the availability of allotments that could accommodate new housing.
Attachments
Nil
|
Council |
25 February 2026 |
Staff Reports – Infrastructure
25 February 2026
9.1 Request for Tender (RFT) 2425-129 Disaster Recovery Funding Arrangements (DRFA) Grading Works..................................................................................................... 49
9.2 Merimbula airport toilet block............................................................................ 53
9.3 Request for Tender (RFT) 2425-092 Mogilla Road retaining structure (DFRA) restoration works................................................................................................................... 83
9.4 Bega Valley Local Transport Forum 3 February 2026......................................... 88
9.5 Request for Tender (RFT) 2526-005 Merimbula CBD traffic trials.................... 429
|
Item 9.1 |
9.1. Request for Tender (RFT) 2425-129 Disaster Recovery Funding Arrangements (DRFA) Grading Works
This report outlines the evaluation of (RFT) 2425-129 DRFA Grading Works and recommends awarding a contract to the preferred tenderer.
Director Infrastructure
1. That Council accepts the recommendation as outlined in the attached confidential memo.
2. That Council accepts the tender from <XXX> in relation to contract for the works described in (RFT) 2425-129 Disaster Recovery Funding Arrangements (DRFA) Grading Works at various sites around the Bega Valley Shire, in the amount of <XXX> (including GST), subject to variations and provisional sums.
3. That authority be delegated to the Chief Executive Officer to execute all necessary documentation and approve contract variations up to the available allocated budget.
4. That all tenderers be advised of Council’s decision.
Executive Summary
The Tender for DRFA Grading Works aims to restore 16 sections of unsealed roads to their pre natural disaster condition. The scope of work involves maintenance grading, gravel replacement and repairs to stormwater infrastructure. This report seeks endorsement to award a contract to the preferred contractor and complete repairs as soon as possible.
Background
This tender packages 16 approved disaster recovery damages largely related to grading of unsealed roads within the Bega Valley. The included roads were all damaged by either the December 2023 flood event (AGRN1100) or the February 2025 flood event (AGRN1200). Roads that were included in this package all have either no council level of service (Crown roads), a level of service B (1 grade per year) or level of service O (graded every 2-3 years).
The Disaster Recovery scope for this RFT includes:
· Narira Road: 320m of grading and addition of 46T of gravel
· Barrabaroo Road: 1650m of grading and addition of 198T of gravel
· Bourkes Road: 2050m of grading and addition of 1280T of gravel
· Wapengo Lake Road: 990m of grading and addition of 119T of gravel
· Dorrigo Road: 1720m of grading and addition of 206T of gravel
· Warrigal Range Road: 260m of grading, addition of 20T of gravel and repair of a damaged culvert.
· Mumbulla Creek Road: 7440m of grading and addition of 235T of gravel
· McPauls Road: 300m of grading and addition of 36T of gravel
· South Wolumla Trail: 360m of grading and addition of 130T of gravel
· Green Point Road: 650m of grading and addition of 78T of gravel
· Wolumla Peak Road: 1620m of grading and addition of 195T of gravel
· Jingera Lane: 212m of grading and addition of 15T of gravel
· Nullica Mount Road: 174m of grading and addition of 42T of gravel
· Yambulla Road: 960m of grading and addition of 115T of gravel
Provisional items were included for the following additional items with the intention that these will be funded by councils if it is assessed as cost effective to have the successful contractor complete these items concurrent with the DRFA funded repair works rather than mobilising councils grading teams:
· Bourkes Road: 8610m of maintenance grading
· Dorrigo Road: 2690m of maintenance grading
· McPauls Road: 1404m of maintenance grading
· Nullica Mouth Road: 210m of maintenance grading
· Oak St: 80m of maintenance grading
· Norwood St: 210 m of maintenance grading
· West St: 177m of maintenance grading
At the completion of the evaluation on 30 January 2026 an email was received from NSW National Parks and Wildlife Service regarding the tenure of Mumbulla Creek Road. There appears to be a discrepancy between Council’s asset record and National Park records. There is approximately 1.1km of Mumbulla Creek Road that may be classified as a National Parks owned road and not Crown. At the time of writing this report the exact details are still being confirmed and if found to be owned by National Parks this scope will be discussed with the NSW Reconstruction Authority (RA) and the National Parks owned section will be removed from the scope of the contract works, if necessary.
The administering agency for Disaster Recovery was TfNSW up until 1 October 2025 at which point the program was handed over to the NSW RA. All initial approvals were provided by TfNSW, however, construction of the project will be administered by the NSW RA.
Tender process
RFT 2425-129 for DRFA grading works was released to the open market on 14 November 2025.
At tender close on 19 December 2025, six submissions were received. The tenders were evaluated according to price (50%) and non-price (50%) criteria.
Information provided by tenderers within their tender submission, in particular price information, is ‘commercial in confidence’. Accordingly, this information and the details of the tender evaluation are provided in a confidential memorandum, not the public report to Council.
Options
Option 1. Proceed with the recommended tenderer.
This option allows commencement of works to align with tender program which meets the DRFA funding deadline. Option 1 will restore the damaged roads to their pre-event condition. The associated pricing is within the allocated grant budget provided by the NSW RA. This is the preferred option.
Option 2. Reject recommended tenderer.
This would increase the likelihood of extended delivery timelines which could result in further deterioration of the roads and place the agreed grant funding at risk. This is not the preferred option.
Community and Stakeholder Engagement
Engagement undertaken
The scope of work associated with this tender is generally considered as maintenance activities and as such has not required design or environmental assessment.
Internal consultation was undertaken with BVSC staff in Works, Assets, and Procurement.
Engagement planned
No road closures are anticipated during the completion of these works and the locations included within the scope are all low traffic areas so the impact to road users will be low. The successful contractor will be required to implement traffic control to inform road users of temporary reduced speed limits and any requirements to stop or proceed slowly.
Financial and Resource Considerations
This project will be predominantly funded by the Disaster Recovery Funding Arrangements (DRFA) with contributions from Council’s unsealed roads maintenance budget for provisional items where they provide best value for money.
|
Item |
$ Including GST |
|
Expenditure Detail |
|
|
DRFA Grading Works - Lump Sum Contract Cost |
Refer Confidential Attachment |
|
DRFA Grading Works – Maximum Provisional Items |
Refer Confidential Attachment |
|
Total Expenditure |
|
|
Total Possible Contract Cost |
Refer Confidential Attachment |
|
Source of Funds |
|
|
DRFA Funding (NSW Reconstruction Authority) |
Refer Confidential Attachment |
|
Works – Maintenance Grading Budget |
Refer Confidential Attachment |
|
Total income available |
|
|
Total income |
Refer Confidential Attachment |
|
Total Project Capital Cost |
Refer Confidential Attachment |
|
Total Available Construction Funding |
Refer Confidential Attachment |
|
Project Funding Surplus/ Continency |
Refer Confidential Attachment |
Legal /Policy
The tender process conducted for RFT 2425-129 was undertaken in accordance with Section 55 of the Local Government Act 1993, part 7 of the Local Government (General) Regulation 2021 and Section 171 of the Local Government Regulations.
Impacts on Strategic/Operational/Asset Management Plan/Risk
Strategic Alignment
Community Strategic Plan 2042- 2025 Revision: D.6 Our transport network makes it easy to move through and beyond the shire.
Strategic Asset Management plan 2025-29: Asset Lifecycle Management, Asset Renewal and Upgrade
Environment and Climate Change
All work is to be carried out on existing roads in previously disturbed areas, so the expected environmental impact is low. The biggest foreseeable impacts will be dust and noise. To minimise dust impact, contractors are required to implement dust suppression via a water cart while grading. To minimise noise impact, all work will be completed between 7am to 6pm Monday to Friday or 7am to 1pm on Saturday.
Economic
Completion of this project will improve the safety and durability of the included roads.
Risk
Accepting this Tender will allow council to complete this work whilst DRFA funding is available. Delaying the project may result in the funding expiring on 30 June 2027 before the work is complete.
If this work doesn’t occur, then further deterioration of these roads will likely occur.
Social / Cultural
Restoration of the road to its intended operational conditions allows the communities using the road to access services in other service centres within the Shire such as Eden, Merimbula and Bega.
Attachments
1. Confidential Memorandum to Councillors RFT 2425-129 Disaster Recovery Funding Arrangements (DRFA) Grading Works (Confidential - As this attachment contains commercial information of a confidential nature that would, if disclosed (i) prejudice the commercial position of the person who supplied it; or (ii) confer a commercial advantage on a competitor of the Council; or (iii) reveal a trade secret as per Section 10A(2)(d) of the Local Government Act 1993.
Although the above relates more explicitly to the discussion of closed business, it also forms part of the basis of justification as to why information relied upon in informing the public decisions made by Council are kept confidential. To consider this confidential material in open Council would be, on balance, contrary to the public interest (as defined in Section 14 of Government Information Public Access (GIPA) Act 2009) as it would potentially disclose private business information provided by tenderers in a confidential tender process and would also impact Council’s position in relation to its consideration, therefore impacting the tender process. This meets the requirements of Sect 10 D of the Local Government Act 1993 if Council were to close the meeting to discuss the details of individual tenderers.
|
Item 9.2 |
9.2. Merimbula airport toilet block
Consideration of a revised resolution regarding an airside toilet block at Merimbula Airport is required following advice from the Civil Aviation Safety Authority (CASA) on Council’s original proposal.
Director Infrastructure
Following recent CASA advice regarding a proposed airside toilet block, it is proposed to amend Council’s resolution 2 of 17 September 2025 to read:
1. That Council approves the construction of a landside-accessible toilet facility to service users in the General Aviation precinct, connected to water supply and sewerage infrastructure.
Executive Summary
An amended resolution is proposed to eliminate risk to airside operations by changing the proposed location of an accessible toilet facility to a position within the landside area at Merimbula Airport.
Background
It was resolved at Council’s meeting of 17 September 2025 that:
Council approves the construction of an airside-accessible toilet facility to service users in the General Aviation precinct, connected to water supply and sewerage infrastructure.
Recent CASA advice and internal risk assessment indicates the proposal induces unacceptable risk to the airside operations.
Options
The options available to Council are:
1. Install a landside accessible toilet facility as per its original recommendation of 17 September 2025.
This decreases risk to airside operations from potential collision, uncontrolled aircraft parking, uncontrolled pedestrian activity and introduction of foreign object debris (FOD) to the airside area since activities related to the toilet use are restricted to the landside area, a less sensitive area according to CASR Manual of Standards (MOS) Pt 139 requirements. This also still provides amenity to General Aviation precinct users. This also manages the airside operational risks according to Council’s Airside Safety Management System. This is the recommended option.
2. Install an airside accessible toilet facility as per its original recommendation of 17 September 2025.
This increases risk to airside operations from potential collision, uncontrolled aircraft parking, uncontrolled pedestrian activity and introduction of foreign object debris (FOD) to the airside area. The proposal also rates as high or extreme risk within Council’s Airport Safety Management System. The proposal also does not meet the requirements of the Civil Aviation Safety Regulations (CASR) Manual of Standards (MOS) Part 139 requirements. This is not the preferred option.
3. Do nothing
Doing nothing does not increase the risk to airside operations nor does it increase airport operations expenditure. However, it does not improve amenity to future aviation precinct users. Existing toilet facilities are available within the Airport precinct within the terminal building at a southern airside location that has allocated aircraft parking bays. This option complies with the MOS requirements and Council’s Airside Safety Management System. This is also a feasible option.
Community and Stakeholder Engagement
Extensive stakeholder engagement has been completed during development of the General Aviation Precinct concepts for leasing and licencing.
Engagement undertaken
Council completed an Expression of Interest (EOI) process for potential lessees of the lease lots being created. EOIs were open from 18 November 2022, until 9 January 2023.
Engagement with Council’s Airport Operations contractor occurred on 4 February 2026 at the regular monthly meeting with Council.
CASA was contacted 21 January 2026, about the airside toilet proposal following a Councillor workshop held that day, and preliminary guidance provided.
Engagement planned
Further engagement with Council’s Airport Operations contractor will be required following Council’s determination of a preferred option to progress.
Financial and Resource Considerations
Funds are available from budget allocations for development of leases for the General Aviation precinct that may utilised to commence the project.
|
Item |
$ Excl GST |
|
Expenditure Detail |
|
|
Modular Toilet block and utility connections |
$65,000 |
|
Total Expenditure |
$65,000 |
|
Source of Funds |
|
|
General Aviation Precinct Development |
$272,799 |
|
Total income available |
$272,799 |
|
Total Project Capital Cost |
$65,000 |
|
Total Available Funding for GA finalisation |
$207,799 |
|
Project Funding Shortfall |
Nil |
A modular toilet block service life is estimated at 20 years. Additional operational costs arise from cleaning, replenishment of consumable, power, water and sewer charges are expected post commissioning. The operational costs are sensitive to the amount of cleaning required. Some vegetation screening has been allowed for within the capital cost that will also require maintenance.
Financial Option Impacts | Life Cycle Costing
|
Ongoing Financial Impacts |
$ Excl GST |
|
Capital Investment | Renewal, Upgrade, New |
$65,000 |
|
Annual maintenance and operational costs |
$6,000 |
|
Depreciation costs |
$3,250 |
|
User charges (annual income) |
|
Legal /Policy
Aviation operations with Australia are governed by the Federal Civil Aviation Act 1988 and its subsidiary regulation Civil Aviation Regulations 1988. The main object of the Act is stated in Part 3A:
The main object of this Act is to establish a regulatory framework for maintaining, enhancing and promoting the safety of civil aviation, with particular emphasis on preventing aviation accidents and incidents.
Council as an aerodrome operator (and aerodrome certificate holder) is also subject to the requirements of Part 139 (Aerodromes) Manual of Standards (MOS) 2019 (as made by the Civil Aviation Regulations 1988) that specifies the standards for certified aerodromes.
Section 7.02 (1) sets out the requirements for obstacle restriction areas:
Objects or structures, other than approved visual and navigational aids, must not be constructed or erected within the obstacle restriction area of an aerodrome without the written approval of CASA.
According to the MOS criteria, the desired location of the air-side toilet block falls within the defined taxiway strip with of Taxiway Echo (E) servicing the General Aviation precinct.
Section 6.51 of the MOS states:
A taxiway strip must be free of fixed objects or structures other than visual or navigational aids used for the guidance of aircraft or vehicles.
The introduction of an air-side toilet facility at the desired location classifies as an object or structure within the obstacle restriction area at Merimbula Airport that does not align to the MOS requirements.
The MOS section 25.02 requires a Safety Management System for Aerodromes that exceed 50,000 or more passengers in any financial year. Last financial year, Merimbula Airport accounted for 66,000 passengers. In conjunction with its airport operations contractor, Council developed an Airside Safety Management System that Council owns but Council’s contractor is responsible for implementing that include requirements for Risk Management.
Installation of a toilet facility will be required to comply with the requirements of Council’s Local Environmental Plan 2013 and Development Control Plan 2013 (as amended July 2024).
Impacts on Strategic/Operational/Asset Management Plan/Risk
Strategic Alignment
Council’s adopted Merimbula Airport Masterplan 2043 sets out the development plan to deliver Council’s vision for the Merimbula Airport over the next 20 years.
The current Vision statement is:
Merimbula Airport is a key gateway to the Sapphire Coast. It will be functional, welcoming, efficient and responsive to the region’s air transport needs as they expand and diversify. It will fulfil its role in supporting the region’s essential service provision and economic sustainability.
Development of the General Aviation precinct and the provision of a toilet block broadly align with the stated vision despite the Masterplan being specifically silent on the provision of an air-side toilet block.
Environment and Climate Change
The Merimbula Airport has a level of flood affectation as recognised with the adopted Merimbula Airport Master Plan 2043 and Merimbula Lake and Back Lake Flood Study, Floodplain Risk Management Study and Plan. The siting of any toilet block and its floor level will need to consider the relevant flood constraints that considered increased rainfall intensity and sea level rise factors.
Economic
The Merimbula Airport provides essential links for professional, legal, specialist and medical services as well as passengers for tourism, employment and business.
There are additional costs in improving amenity through provision of additional toilet facilities that may/may not be recouped over time. However, improved amenity broadly aligns with Council’s Vision for the airport in being a welcoming facility.
Risk
Data from the Australian Transport Safety Bureau (ATSB) indicates over the last 10 years, 1,108 incidents occurred involving ground operations. Of the 1,108 incidents, sixteen involved general aviation incidents. Of the sixteen general aviation incidents, data showed one fatality, seven serious injuries and eight minor injuries not including near misses. Two serious injuries were occasioned by people walking into propellers and the fatality involved a pilot undertaking a propeller hand start when the aircraft inadvertently moved thereafter.
Introduction of additional people/aircraft interaction through introduction of an airside toilet facility is unlikely to reduce risk of injury or death to a net nil increase in risk.
A risk evaluation according to Council’s own Airside Safety Management System Risk Assessment matrix (Appendix 2) indicates the installation of an airside toilet facility to be High or Extreme risk notwithstanding compliance to MOS requirements.

Airside risk can be eliminated in 1 of 2 ways as described in the identified options:
a) Do not provide an airside toilet facility
b) Provide a landside toilet facility
If an airside toilet block were constructed not withstanding MOS criteria discussed earlier, then it would be necessary to update the Airside Safety Management System risk register to acknowledge that the airside risk could not be mitigated back to the pre-existing risk assessment and conditions without the toilet block. Council would need to acknowledge that the airside risk is being increased leaving the Airside Safety Management System open to further scrutiny in the event of an incident arising.
Social / Cultural
Merimbula Airport is a critical element of Council’s transport strategic direction and its management and the provision of airline and other air services into the future is considered critical to ensure the best outcomes for the community.
Attachments
1⇩. Airside Safety Management System Merimbula Airport March 2024
|
25 February 2026 |
|
|
Item 9.2 - Attachment 1 |
Airside Safety Management System Merimbula Airport March 2024 |

|
Item 9.3 |
9.3. Request for Tender (RFT) 2425-092 Mogilla Road retaining structure (DFRA) restoration works
This report outlines the evaluation of (RFT) 2425-092 Mogilla Road DRFA Retaining Structure and recommends awarding a contract to the preferred tenderer.
Director Infrastructure
1. That Council accepts the recommendation as outlined in the attached confidential memo.
2. That Council accepts the tender from <XXX> in relation to contract for the works described in RFT 2425-092 Mogilla Road Retaining Structure Disaster Recovery Funding Arrangements (DRFA) Restoration Works, in the amount of <XXX> (including GST), subject to variations, provisional sums and prime cost items.
3. That authority be delegated to the Chief Executive Officer to execute all necessary documentation and approve contract variations up to the available allocated budget.
4. That all tenderers be advised of Council’s decision.
Executive Summary
Council consulted with key stakeholders and obtained a fully developed design for replacement of the structure. A tender process was then completed, and a preferred contractor identified via the evaluation process. This report seeks endorsement to award a contract to the preferred contractor and complete repairs as soon as possible.
Background
This damage is located on Mogilla Road approximately 3.25km south of the intersection with the Snowy Mountains Highway and 100m north of Lookout Lane, in the locality of Mogilla. At this location, the road is constructed on an extensive embankment of fill material placed during the original construction of the road.
Damage to this structure was first raised by Council staff on 19 August 2021, when it was observed that there was significant slumping of the embankment material. This damage was the result of the August 2021 declared flood event. In subsequent events, the damage has been monitored and there has been tension cracking in the road pavement at the location.
A scope of works for the
stabilisation of the embankment was developed and submitted to Transport for
New South Wales (TfNSW) for approval. Approval was received on
16 December2024.
In April 2025, Fairlight
Engineering were engaged for the design of suitable solutions to stabilise the
embankment. They provided two designs for retaining solutions, a cantilever
retaining wall and a mass block retaining wall. This design was issued to council
on
18 June 2025.
In September 2025, Envirokey completed a Review of Environmental Factors (REF) based on the approved scope of works. This REF was submitted to Council’s environment team for determination. Determination was received on 17 October 2025.
After acquiring all required design, permits and approvals; scope documents were prepared before approaching the market via Vendor Panel.
The final scope of works includes:
· Implementation of safeguards as per REF including erosion and sediment controls
· Traffic management
· Survey and set out of the works
· Construction of retaining structure in accordance with the design
· Compact Embankment
· Rehabilitating the site including revegetation.
Following completion of this DRFA project, council’s works team will be completing a road stabilisation project to repair damaged pavement along Mogilla Road including the tension cracking in the vicinity of this project. This approach aligns with TfNSW’s recommendation that the resealing is completed at council’s expense as the pavements cracking predated the slip first observed in 2021. This timing also provides best value by eliminating the need for rework if the retaining structure was completed after the road stabilisation project.
The administering agency for Disaster Recovery was TfNSW up until 1 October 2025, at which point the program was handed over to the NSW Reconstruction Authority (RA). All initial approvals were provided by TfNSW, but construction of the project will be administered by the NSW RA.
Tender process
RFT 2425-092 for Mogilla Road retaining structure (DRFA) restoration works was released to the open market on 3 November 2025. A non-mandatory pre-tender meeting was held onsite on 26 November 2025, with two contractors attending.
At tender close on 9 December 2025, five submissions were received. The tenders were evaluated according to price (50%) and non-price (50%) criteria.
Information provided by tenderers within their tender submission, in particular price information, is ‘commercial in confidence’. Accordingly, this information and the details of the tender evaluation are provided in a confidential memorandum, not the public report to Council.
Options
Option 1 Proceed with the recommended tenderer
This option allows commencement of works to align with tender program which meets the DRFA funding deadline. Option 1 is for the construction of a retaining wall to stabilise the embankment. The associated pricing falls within the allocated budget provided by the NSW Reconstruction Authority. This is the preferred option.
Option 2 Reject recommended tenderer
This would increase the likelihood of extended delivery timelines, cost escalations and potential grant funding deadline issues. The identified road embankment instability would remain unresolved. This is not the preferred option.
Community and Stakeholder Engagement
Engagement undertaken
Engagement has been undertaken with design consultants, environmental consultants and TfNSW to ensure the repair of this essential public asset provides maximum benefit to all stakeholders.
Internal consultation was undertaken with BVSC staff in Works, Assets, Environment and Procurement.
A REF was completed which identified possible impacts on the community including noise, dust and traffic delays. The REF included recommendations on how to minimise these impacts. All safeguards provided will be implemented during construction.
Neighbouring landowners will be consulted with once a contractor is engaged through to completion of the project. A media alert will also be issued from the council’s communications team notifying the community of the upcoming including works with a single lane closure under traffic control as well as the commencement date and duration of the work. Live Traffic will also be kept up to date throughout the project.
Financial and Resource Considerations
This project will be fully funded by the Disaster Recovery Funding Arrangements (DRFA).
|
$ Excl GST |
|
|
Expenditure Detail |
|
|
Mogilla Road Retaining Structure – Lump Sum Contract Cost |
Refer Confidential Attachment |
|
Mogilla Road DRFA Restoration Works – Maximum Provisional Items |
Refer Confidential Attachment |
|
Total Expenditure |
XXXX (sum of all costs) |
|
Total Possible Contract Costs |
Refer Confidential Attachments |
|
Total income available |
|
|
DRFA Funding (NSW Reconstruction Authority) |
Refer Confidential Attachments |
|
Total Project Capital Cost |
*Total income = total project cost |
|
Total income available |
* total income = total project cost |
|
Committed and Spent to Date (Design, Review of Environmental Factors, Fisheries) |
Refer Confidential Attachments |
|
Total Possible Contract Cost |
Refer Confidential Attachments |
|
Total |
Refer Confidential Attachments |
|
Total Available Construction Funding |
Refer Confidential Attachments |
|
Project Funding Surplus/Contingency |
Refer Confidential Attachments |
The ongoing life cycle costing impacts are negligible since the project is intended to restore the road to the prior service conditions.
Legal /Policy
The tender process conducted for RFT 2425-092 was undertaken in accordance with Section 55 of the Local Government Act 1993, part 7 of the Local Government (General) Regulation 2021 and Section 171 of the Local Government Regulations.
Impacts on Strategic/Operational/Asset Management Plan/Risk
Strategic Alignment
Completion of the works will achieve alignment with Council’s following strategic objectives:
Community Strategic Plan 2042- 2025 Revision: D.6 Our transport network makes it easy to move through and beyond the shire.
Strategic Asset Management plan 2025-29: Asset Lifecycle Management, Asset Renewal and Upgrade.
Environment and Climate Change
An REF was completed to help ensure that the work will be completed in an ecologically sustainable way. The REF concluded that it is unlikely that the proposed activity will have a significant impact on threatened species, populations, communities and their habitats. Any work that occurs on this site will be in accordance with the recommendations made within the REF.
Economic
Completion of this project will improve the safety and durability of Mogilla Road. By improving the stability of the embankment, the risk of a major failure, is significantly reduced.
Risk
Accepting this tender will allow council to complete this work whilst DRFA funding is available. Delaying the project may result in the funding expiring on 30 June 2027 before the work is complete.
If this work doesn’t occur, it is highly likely that the embankment will continue to deteriorate in future flood and storm events. Delays to this project would also have a knock-on effect in delaying the upcoming road stabilisation project.
The key risk associated with the delivery of this project is continuity of access for residents, as Mogilla Road is an access road between the Snowy Mountains Highway and Mogilla.
To mitigate this risk and provide continuity of access during construction, most of the works will occur off-road. Where necessary, stop-go traffic control will be used to enable traffic access whilst works are in progress.
Social / Cultural
Attachments
1. Confidential Memorandum to Councillors RFT 2425-092 (Confidential - As this attachment contains commercial information of a confidential nature that would, if disclosed (i) prejudice the commercial position of the person who supplied it; or (ii) confer a commercial advantage on a competitor of the Council; or (iii) reveal a trade secret as per Section 10A(2)(d) of the Local Government Act 1993.
Although the above relates more explicitly to the discussion of closed business, it also forms part of the basis of justification as to why information relied upon in informing the public decisions made by Council are kept confidential. To consider this confidential material in open Council would be, on balance, contrary to the public interest (as defined in Section 14 of Government Information Public Access (GIPA) Act 2009) as it would potentially disclose private business information provided by tenderers in a confidential tender process and would also impact Council’s position in relation to its consideration, therefore impacting the tender process. This meets the requirements of Sect 10 D of the Local Government Act 1993 if Council were to close the meeting to discuss the details of individual tenderers.
|
Item 9.4 |
9.4. Bega Valley Local Transport Forum 3 February 2026
This report provides the recommendations of the Bega Valley Local Transport Forum (LTF) meeting held on 3 February 2026.
Director Infrastructure
That Council adopt the recommendations of the Bega Valley LTF meeting held on 3 February 2026 as outlined below:
ANZAC Day March & Service 25 April 2026 – Bega, Bemboka and Tathra
b. That sections of Council roads at Auckland Street and Carp Street in Bega be temporarily closed on Saturday, 25 April 2026 for the Bega ANZAC Day proceedings, as per the Traffic Guidance Scheme (TGS).
c. Bega Morning: That the proposed traffic arrangements for the Bega ANZAC Day March and Service be approved and deemed a Class 2 Special Event.
d. That sections of Council roads at Gipps Street and Carp Street in Bega be temporarily closed on Saturday, 25 April 2026 for the Bega ANZAC Day proceedings, as per the TGS.
e. Tathra: That the proposed traffic arrangements for the Tathra ANZAC Day March and Service for both Dawn and Morning Service be approved and deemed a Class 2 Special Event.
f. That sections of Council roads at Bega Street service road in Tathra be temporarily closed on Saturday, 25 April 2026 for the Tathra ANZAC Day Dawn and Morning proceedings, as per the TGS.
g. Bemboka: That the proposed traffic arrangements for the Bemboka ANZAC Day March and Service be approved and deemed a Class 1 Special Event.
h. That sections of Transport for NSW (TfNSW) roads at Loftus Street in Bemboka be temporarily closed on Saturday, 25 April 2026 for the Bemboka ANZAC Day proceedings, as per the TGS.
i. That the temporary closure of the Snowy Mountains Highway, Bemboka is solely for TfNSW determination.
j. That, the proposed arrangement involving road closures with an on-road assembly, the following is to be included in the TGS to physically obstruct access to the closed road.
i. The road closed (T2-4) sign must be used in conjunction with barrier boards at the start of the site to prohibit general road user access
ii. Traffic control vehicles may be used to physically obstruct access to closed roads to supplement delineation devices if delineation devices alone are insufficient.
k. That the event is subject to approval of current site specific TGS.
l. That the above event organises their own accredited Traffic Control Staff to implement and manage the relevant TGS.
m. That (if applicable) the event organiser arranges the pick-up and drop off on any signage used through Council.
n. That after the event, organisers are to clean up any rubbish or waste left behind.
ANZAC Day March & Service 25 April 2026 – Merimbula, Pambula and Wolumla
a. Merimbula: That the proposed traffic arrangements for the Merimbula ANZAC Day Dawn Service and morning March and Service in Merimbula on Saturday, 25 April 2026 be approved and deemed a Class 2 special event.
b. That sections of Main Street, Market Street and Beach Street, Merimbula be temporarily closed on Saturday, 25 April 2026 for the Merimbula ANZAC Day Dawn Service, March and morning Service in Merimbula in accordance with the Traffic Guidance Schemes (TGS).
c. Wolumla: That the proposed traffic arrangements for the Wolumla ANZAC Day March and Service in Wolumla on Saturday, 25 April 2026 be approved and deemed a Class 2 special event.
d. That sections of Scott and Bega Street in Wolumla be temporarily closed on Saturday, 25 April 2026 for the Wolumla ANZAC Day March and Service in Wolumla in accordance with the TGS.
e. Pambula: That the proposed traffic arrangements for the Merimbula ANZAC Day March and Service in Pambula on Saturday, 25 April 2026 be approved and deemed a Class 1 special event.
f. That sections of Quondolo Street (Princes Highway), Pambula be temporarily closed on Saturday, 25 April 2026 for the Pambula ANZAC Day morning March and Service in Pambula in accordance with the TGS.
g. That the temporary closure of the Princes Highway, Pambula is a matter solely for TfNSW Road Occupancy Licence determination.
h. Subject to approval of site-specific TGS.
i. That the above event organises their own accredited Traffic Control Staff to implement and manage the relevant TGS.
j. That the event organiser arranges the pick-up and drop off on any signage used through Council.
k. That after the event, organisers are to clean up any rubbish or waste left behind.
ANZAC Day March & Service 25 April 2026 – Eden
a. That the proposed traffic arrangements for Eden ANZAC Day Dawn March and Service on Saturday, 25 April 2026 be approved and deemed a Class 2 Special Event.
b. That the proposed traffic arrangements for Eden ANZAC Day Morning March and Service on Saturday, 25 April 2026 be approved and deemed a Class 2 Special Event.
c. That sections of Chandos Street, Imlay Street, Bass Street and Calle Calle Street, Eden be temporarily closed on Saturday, 25 April 2026 for both Eden ANZAC Day Marches, in accordance with the TGSs.
d. That Roadwork Ahead signs must be used at a diversion of traffic along a side track or detour and Speed zones must be reduced approaching the closure
e. That the proposed arrangement involving road closures with an on-road assembly, the following is to be included in the TGS to physically obstruct access to the closed road.
i. The road closed (T2-4) sign must be used in conjunction with barrier boards at the start of the site to prohibit general road user access
ii. Traffic control vehicles may be used to physically obstruct access to closed roads to supplement delineation devices if delineation devices alone are insufficient
f. Subject to approval of site-specific Traffic TGS that the above event organises their own accredited Traffic Control Staff to implement and manage the relevant TGS.
g. That (if applicable) the event organiser arranges the pick-up and drop off on any signage used from Council.
h. That after the event, organisers are to clean up any rubbish or waste left behind.
ANZAC Day March & Service 25 April 2026 – Cobargo
a. That the proposed traffic arrangements for the Cobargo ANZAC Day March on Saturday, 25 April 2026 be approved and deemed a Class 1 special event.
b. That sections of Cobargo Bermagui Road and Tarlinton Street, Cobargo be temporarily closed on Saturday, 25 April 2026 for the Cobargo ANZAC Day March, in accordance with the TGS.
c. That the temporary closure of the Princes Highway, Cobargo is solely for TfNSW Road Occupancy Licence determination.
d. That, the proposed arrangement involving road closures with an on-road assembly, the following is to be included in the TGS to physically obstruct access to the closed road.
i. The road closed (T2-4) sign must be used in conjunction with barrier boards at the start of the site to prohibit general road user access.
ii. Traffic control vehicles may be used to physically obstruct access to closed roads to supplement delineation devices if delineation devices alone are insufficient.
e. Subject to approval of site-specific TGS that the above event organises their own accredited Traffic Control Staff to implement and manage the relevant TGS.
f. That (if applicable) the event organiser arranges the pick-up and drop off on any signage used through Council.
g. That after the event, organisers are to clean up any rubbish or waste left behind.
ANZAC Day Service 25 April 2026 – Candelo
a. That the proposed traffic arrangements for the Candelo ANZAC Day Service on Saturday, 25 April 2026 be approved and deemed a Class 2 special event.
b. That the section of William Street, Candelo between the intersections of Eden Street and Queen Street be temporarily closed on Saturday, 25 April 2026 for the Candelo ANZAC Day Service, in accordance with the TGS.
c. That, the proposed arrangement involving road closures with an on-road assembly, the following is to be included in the TGS to physically obstruct access to the closed road.
i. The road closed (T2-4) sign must be used in conjunction with barrier boards at the start of the site to prohibit general road user access.
ii. Traffic control vehicles may be used to physically obstruct access to closed roads to supplement delineation devices if delineation devices alone are insufficient.
d. Subject to approval of site-specific TGS, that the above event organises their own accredited Traffic Control Staff to implement and manage the relevant TGS.
e. That (if applicable) the event organiser arranges the pick-up and drop off on any signage used through Council.
f. That after the event, organisers are to clean up any rubbish or waste left behind.
ANZAC Day March & Service 25 April 2026 – Bermagui
a. That the proposed traffic arrangements for the Bermagui ANZAC Day March on Saturday, 25 April 2026 be approved and deemed a Class 2 special event.
b. That sections of Lamont Street from Wallaga Street to Pacific Drive, Bermagui be temporarily closed on Saturday, 25 April 2026 for the Bermagui ANZAC Day March.
c. That, the proposed arrangement involving road closures with an on-road assembly, the following is to be included in the TGS to physically obstruct access to the closed road.
i. The road closed (T2-4) sign must be used in conjunction with barrier boards at the start of the site to prohibit general road user access.
ii. Traffic control vehicles may be used to physically obstruct access to closed roads to supplement delineation devices if delineation devices alone are insufficient.
d. Subject to approval of a site-specific TGS the above event organises their own accredited Traffic Control Staff to implement and manage the relevant TGS.
e. That the event organiser arranges the pick-up and drop off on any signage used through Council.
f. That after the event, organisers are to clean up any rubbish or waste left behind
Cobargo Folk Festival – Friday 27 February – Sunday 1 March 2026
a. That the proposed traffic arrangements involving the temporary closure of Avernus Avenue from intersection of Cobargo Bermagui Road to the entrance of the Cobargo Show Grounds be temporarily closed from 2.00pm-12 midnight on Friday, 27 February , 10.00am – 12 midnight on Saturday 28 February and 10.00am - 4.00pm on Sunday, 1 March 2026 for the Cobargo Folk Festival, be deemed a Class 2 special event and it be conducted under an approved Traffic Guidance Scheme, in accordance with Transport for NSW and WorkSafe Traffic Control Manuals.
b. That the section of Cobargo Bermagui Road from Avernus Avenue to the Showground Entrance include the following:
• Temporary street lighting
• Complete traffic control
• Warning signage (T1-34) of traffic control ahead
c. That persons involved in the preparation and implementation of the TGS must hold the appropriate TfNSW/WorkSafe accreditation.
d. That the event organisers notify affected property owners of changes to road conditions at least one month prior to the event taking place.
e. That organisers fully implement an approved Special Event Transport Management Plan.
f. That organisers have approved and current public liability insurance of at least $20 million indemnifying Council, Police and TfNSW by name for the event.
Wintersun Festival – Saturday 6 June 2026
a. That, subject to conditions, a section of Market Street from Hylands Corner to Merimbula bypass traffic lights (excluding Park Street /bypass and Monaro Street) and Beach Street up to but not including Alice Street be temporarily closed between 7.00am and 10.00pm on Saturday, 6 June 2026 for the Wintersun Festival.
b. That the proposed traffic arrangements involving the temporary closure of Market Street from Hylands Corner to Merimbula bypass traffic lights (excluding Park Street/bypass and Monaro Street) and Beach Street up to but not including Alice Street for the Wintersun Festival on Saturday, 6 June 2026, be deemed a Class 2 special event and it be conducted under an approved TGS, in accordance with the Safework NSW Guidelines and TfNSW Traffic Control Guidelines.
c. That, the proposed arrangement involving road closures with an on-road assembly, the following is to be included in the TGS to physically obstruct access to the closed road.
i. The road closed (T2-4) sign must be used in conjunction with barrier boards at the start of the site to prohibit general road user access.
ii. Traffic control vehicles may be used to physically obstruct access to closed roads to supplement delineation devices if delineation devices alone are insufficient.
d. The TGS is to include 40kph speed reduction signs in advance.
e. That persons involved in the preparation and implementation of the Traffic Guidance Scheme must hold the appropriate SafeWork NSW accreditation.
f. That organisers fully implement an approved Special Event Transport Management Plan.
g. That organisers have approved public liability insurance of at least $20 million indemnifying Bega Valley Shire Council, NSW Police Force and TfNSW by name as an interested party for the event.
h. That organisers have written NSW Police approval prior to conducting the event.
i. That organisers apply to TfNSW for a current Road Occupancy Licence (ROL).
j. That as a prerequisite of road closures, the event organisers must notify all, local and interstate bus services along with local taxi services and other affected stakeholders of alternative routes including pick-up/drop-off points, including point to point transport.
k. That after the event, organisers are to clean up any rubbish or waste left behind
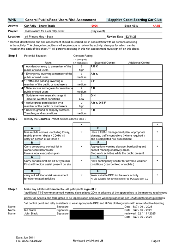
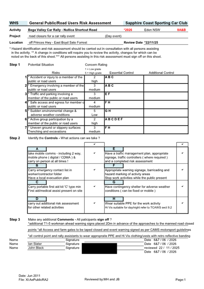
Bega Valley Rally – Saturday 6 June and Sunday 7 June 2026
a. That, subject to conditions, Niagara Lane / Comans Lane be temporarily closed between 10.30am and 2.00pm on Saturday, 6 June 2026 for the duration of a competitive stage of the Bega Valley Rally.
b. That, subject to conditions, Buckajo Road be temporarily closed between 12.30am and 4.30pm on Saturday, 6 June 2026 for the duration of a competitive stage of the Bega Valley Rally
c. That, subject to conditions, Coopers Gully Road be temporarily closed between 11.15am and 3.00pm on Saturday, 6 June 2026 for the duration of a competitive stage of the Bega Valley Rally.
d. That, subject to conditions, Upper Cobargo Road be temporarily closed between 1.00pm and 5.00pm on Saturday, 6 June 2026 for the duration of a competitive stage of the Bega Valley Rally.
e. That, subject to conditions, Angledale Road be temporarily closed between 1.00pm and 6.00pm on Saturday, 6 June 2026 for the duration of a competitive stage of the Bega Valley Rally.
f. That, subject to conditions, Snake Track be temporarily closed between 6.30am and 11.00am on Sunday, 7 June 2026 for the duration of a competitive stage of the Bega Valley Rally.
g. That persons involved in the preparation and implementation of the Traffic Guidance Scheme must hold the appropriate SafeWork NSW Training Card.
h. That organisers fully implement an approved Special Event Transport Management Plan.
i. That, one month prior to the event date, all affected residents will be notified by letter drop advising them of the proposed changes to traffic movements. The letter must provide the residents with contact details of the event organisers.
j. That, organisers have approved public liability insurance of at least $20 million indemnifying Bega Valley Shire Council, NSW Police Force and TfNSW by name for the event.
k. That, as a prerequisite of road closures, the event organisers must notify all, local and interstate bus services along with local taxi services and other affected stakeholders of alternative routes including pick-up/drop-off points, including point to point transport.
l. That organisers obtain approval from the Commissioner of NSW Police or their delegate, under Section 115 of the Road Transport Act 2013, prior to conducting the event.
m. That signage be displayed advising of road closures.
Request for written approval of cruise bus stop - Chandos Street, Eden
That Council endorse the use of the Chandos Street, Eden bus stop by Sapphire Coast Buslines for all cruise ship operations, as part of the Port Authority’s Environmental Management Plan.
Executive Summary
The LTF is an advisory body incorporating technical review and is not a decision-making committee of Council. LTFs operate under delegation from TfNSW who are responsible for traffic management on all NSW roads. Their role is to advise Council on traffic management matters that relate to prescribed traffic control devices or traffic management facilities for which Council has delegated authority.
It is a requirement for Council to formally adopt the recommendations from the LTF prior to action being taken.
Background
The following submission for Council action was received at the LTF meeting held 3 February 2026:
ANZAC Day March & Service 25 April 2026 – Bega, Bemboka and Tathra
Submissions have been received from Bega Sub-Branch for Bega, Bemboka and Tathra ANZAC Day Services 2026. The submissions were reviewed by council staff. The proposed 2026 routes are unchanged from 2025.
Bega Dawn Service: 5.30am Assemble at Mitre 10 Auckland Street Bega – march to Carp Street Bega Memorial.
Bega Morning Service: 9.30am Assemble at Gipps Street Bega – march down Carp Street to Bega Memorial
Bemboka: 10.30am Assemble – Opposite Hobbs Store Loftus Street Bemboka – march to Bemboka Memorial.
Tathra Dawn Service: 6.00am Assemble at Tathra War Memorial for 30-minute Dawn Service.
Tathra Morning Service: 8.00am Assemble at Anglican Church Bega Street, Tathra – march to Tathra Memorial.
ANZAC Day March & Service 25 April 2026 – Merimbula, Pambula and Wolumla
A submission has been received from Merimbula RSL Sub-Branch for the 2026 ANZAC Day Dawn Service in Merimbula and the main March and Service in Merimbula, Pambula and Wolumla. The submission was reviewed by council staff. The proposed 2026 routes are unchanged from 2025.
Merimbula: The Merimbula Dawn Service will be held at 6.00am and will require the closure of Beach Street, Merimbula between the intersections of Alice Street and Main Street from 5.30am to 7.00am.
Merimbula: The Merimbula morning march will assemble at the Merimbula RSL Club at 10.30am and proceed along Main Street, Market Street and Beach Street with the wreath laying commencing at 11.00am at the War Memorial. The closure of Main Street and Market Street, Merimbula will be required for the duration of the march only, while Beach Street will be closed between the Alice Street and Main Street intersections from 10.30am to 12.00pm for the Service.
Pambula: The Pambula march will assemble on Quondolo Street (front of supermarket) (Princes Highway), Pambula from 9.00am and proceed to the Memorial (opposite the Post Office) for the service and wreath laying. The march and service will require the closure of Quondolo Street, between the Toallo Street and Bullara Street intersections, from 8.30am to 10.30am. Princes Highway traffic will be diverted to Merimbola Street.
Wolumla: The Wolumla march will assemble in Bega Street (opposite Wolumla Hotel) at 8.00am. march to along Bega Street to the Wolumla Memorial for a service and Wreath laying at 8.30am.
Bega Street will be closed from Scott Street to Princes Highway. Once the march arrives at the Memorial, Bega Street will be closed from Cochrane Road to Princes Highway until 10.00am.
ANZAC Day March & Service 25 April 2026 – Eden
A submission has been received from the Eden Sub-Branch for the Eden Dawn and Morning Anzac Day Services 2026. The submission was reviewed by council staff. The proposed 2026 routes are unchanged from 2025.
Eden Dawn Service: The participants will assemble from 5.45am, with the March to proceed 6.00am along Imlay Street to the Cenotaph via Bass Street and Calle Calle Street, Eden.
Eden Morning Service: The participants will assemble from 9.45am, with the March to proceed 10.00am along Imlay Street to the Cenotaph via Bass Street and Calle Calle Street, Eden.
ANZAC Day March & Service 25 April 2026 – Cobargo
A submission has been received Cobargo Sub-Branch for the Cobargo ANZAC Day Service 2026. The submission was reviewed by council staff. The proposed 2026 routes are unchanged from 2025.
The March will commence at approximately 10.00am from the Cobargo School of Arts and travel along Cobargo Bermagui Road, Princes Highway and Tarlinton Street, Cobargo to the Memorial.
The service will be held off street, on private property.
ANZAC Day Service 25 April 2026 – Candelo
A submission has been received from the Candelo Sub-Branch for the Candelo Anzac Day Service 2026. The submission was reviewed by council staff. The proposed 2026 routes are unchanged from 2025.
The setup will start at 10.00am and Service will commence at 10.30am at the War Memorial, concluding at 12.00pm.
ANZAC Day March & Service 25 April 2026 – Bermagui
A submission has been received from the Bermagui Sub-Branch for the Bermagui Anzac Day Service 2026. The submission was reviewed by council staff. The proposed 2026 routes are unchanged from 2025.
The March will be held at approximately 10.45am – 12.00pm from the Pharmacy in Lamont Street, march along Lamont Street to the War Memorial Pacific Drive. The Service will be held off street.
Cobargo Folk Festival – Friday 27 February – Sunday 1 March 2026
A submission has been received from Yuin Folk Club Inc for the Cobargo Folk Festival, to be held on Friday 27 February 2026 – 1 Sunday 1 March 2026.
This is a three-day community celebration that fosters a welcoming environment where everyone can explore their creative side, whether through music, dance, or art workshops designed for all skill levels. Our spoken word events, jam sessions, and social gatherings bring people together, creating moments of connection that last beyond the event.
Extra parking has been established due to the overflow from previous Festivals at this location.
Wintersun Festival – Saturday 6 June 2026
A submission has been received for the Wintersun Festival 2026, to be held on Saturday 6 June 2026.
The annual Wintersun Festival – ‘Streetfest’. There will be a stage set up for bands, at the bypass end of Market Street, to minimise noise interference with Jazz Festival music in Twyford Hall. There will be food trucks and stalls, and a roped off licenced area with paid professional security and staffed by current Responsible Service of Alcohol (RSA) holders and business management on Market Street.
Bega Valley Rally – Saturday 6 June and Sunday 7 June 2026
A submission has been received for the 2026 Bega Valley Rally, to be held on Saturday 6 June and Sunday 7 June 2026. The rally is mainly conducted on NSW Eden Forestry Corporation roads, with the use of 6 Bega Valley Shire roads, being Niagara Lane, Buckajo Road, Coopers Gully Road, Upper Cobargo Road, Angledale Road and The Snake Track.
Request for written approval of cruise bus stop - Chandos Street, Eden
BVSC have received the following request from Sapphire Coast Buslines:
“A representative from Port Authority is working on Port Authorities Environmental Management Plan and is hoping to get some sort of written approval from Traffic Committee for the new bus stop in Chandos Street, incidentally we have used it all season, the concrete path has been completed and it’s a real game changer.
Also, we are aiming to put 2 permanent bench seats in place to further enhance the guest experience”
This bus stop is only used for Cruise visits therefore arrangement is only between Cruise Eden, Port Authority and BVSC.
Discussion:
Sapphire Coast Buslines (SCB) advised that more than 50 cruise ships visit Eden annually, with approximately 80% carrying over 3,000 passengers who disembark and travel throughout Eden and the region. The LTF discussed a range of matters, including the extension of the existing bus zone in Chandos Street to reduce congestion and keep Imlay Street clear of buses and passengers.
The Forum also discussed investigating the installation of permanent bench seating and event signage to prevent private vehicle parking in the area and to improve passenger amenity.
It was suggested that a separate working group meet outside of the LTF to consider future bus operations associated with cruise ship arrivals. This group would include representatives from Council, Sapphire Coast Buslines, TfNSW, Cruise Eden, the Port Authority, and other relevant ground-handling operators. SCB agreed to coordinate this meeting.
BVSC will provide assistance with guidance on the Use of Public Land (UPL) process and potential community grant opportunities relating to the installation of two permanent bench seats. In the interim, it was agreed that SCB may continue using temporary benches to provide passenger comfort until permanent infrastructure is implemented.
Options
1. Accept the recommendations provided by the LTF and resolve accordingly.
2. Reject the recommendations provided by the LTF and resolve accordingly.
3. Resolve on alternate or modified options raised by Councillors.
Community and Stakeholder Engagement
Engagement undertaken
Council’s Assets Coordinator has been in discussion with various staff and community members.
Engagement planned
The presentation of this report to Council and the notification of outcomes to relevant stakeholders are the remaining engagement activities planned.
Financial and Resource Considerations
The financial and resource considerations associated with this report from the above signage request will be delivered through the adopted works maintenance budget.
Legal /Policy
The legal and policy issues have been addressed through the application of conditions to manage public safety and traffic hazards via the LTF delegation from TfNSW.Impacts on Strategic/Operational/Asset Management Plan/Risk
Strategic Alignment
The recommendations are in line with our road and reserve management policies. The inherent risks associated with the events are mitigated by adherence to the agreed Traffic Guidance Schemes and the stipulations made by the LTF.
Environment and Climate Change
There are minor environmental impacts as a result of event waste management and no climate change implications associated with this report.
Economic
There are minor positive economic impacts associated with the approval of Anzac Day marches and services, Cobargo Folk Festival, Wintersun Festival and Bega Valley Rally events through consumption of local goods and services.
Risk
There is a mitigation of traffic and public safety risk by implementing the actions recommended by the LTF.
Social / Cultural
The special events outlined in this report provide important social and economic benefits, by creating opportunities to come together with others and increasing overall well-being for both individuals and communities.
Attachments
1⇩. ANZAC Day application Bega, Bemboka, and Tathra 2026
2⇩. ANZAC Day application Merimbula, Pambula and Wolumla 2026
3⇩. ANZAC Day application Bermagui 2026
4⇩. ANZAC Day application Candelo 2026
5⇩. ANZAC Day application Cobargo 2026
6⇩. ANZAC Day application Eden 2026
7⇩. Cobargo Folk Festival 2026
8⇩. Full WinterSun Application 2026
9⇩. Bega Valley Rally application 2026
10⇩. Photo of Chandos Street bus stop Eden
|
25 February 2026 |
|
|
Item 9.4 - Attachment 1 |
ANZAC Day application Bega, Bemboka, and Tathra 2026 |

|
25 February 2026 |
|
|
Item 9.4 - Attachment 2 |
ANZAC Day application Merimbula, Pambula and Wolumla 2026 |

|
Item 9.5 |
9.5. Request for Tender (RFT) 2526-005 Merimbula CBD traffic trials
This report recommends that Request for Tender (RFT) 2526-005 Merimbula CBD traffic trials be rejected, and a new tender with revised designs to be considered at a future meeting.
Director Infrastructure
1. That Council rejects the tenders received in relation to contract for the works described in RFT 2526-005.
2. That authority be delegated to the Chief Executive Officer to execute all necessary documentation.
3. That all tenderers be advised of Council’s decision.
Executive Summary
At the Bega Valley Shire Council meeting on Wednesday 28 January 2026, Council staff presented a report for RFT 2526-005- Merimbula CBD traffic Trials, which was deferred. It is recommended that this tender now be rejected to allow for incorporation of alternative designs in future tender submissions.
Background
Previous decisions of Council
· At the Bega Valley Shire Council meeting on Wednesday 28 January 2026, Council staff presented a report for RFT 2526-005- Merimbula CBD traffic Trails, which was deferred based on a recommendation of the Chief Executive Officer when the item was considered at the meeting.
· At the Bega Valley Shire Council meeting on Wednesday 15 November 2023 Council staff recommended:
1. That Council resolve to adopt the Merimbula Transport Study as exhibited with a change in preference for the one-way traffic loop in the Merimbula CBD from option 2 to option 1.
2. That Council do not pursue paid parking or smart parking sensors.
3. That deletion of the proposed additional one-way configuration in Fish Pen.
4. That Council leave traffic in Merimbula Drive as two-way.
5. That Alice Street remain two way, or one-way south bound.
6. That council refine the study plans as needed from time to time.
7. That following endorsement, the final Merimbula Transport Study Context and Recommendations Reports are published on Council’s website, and that those who made a submission during exhibition of documents are advised of Council’s decision on this matter
Options
1. Council rejects the current tender for RFT 2425-005 and presents a new tender with revised designs at a future Council meeting. This is the recommended option.
Community and Stakeholder Engagement
Engagement undertaken
Informing Engagement
There was no additional engagement undertaken in relation to this report.
An extensive communications and engagement plan for the Merimbula CBD Upgrade project has been developed. The engagement planned with the community will be aligned with Council’s Community Engagement Strategy. The communications and engagement plan identifies proposed engagement methods and techniques.
Financial and Resource Considerations
There are no financial implications for this report.
Legal /Policy
Impacts on Strategic/Operational/Asset Management Plan/Risk
Strategic Alignment
There is no strategic alignment applicable to this report.
Environment and Climate Change
There are no environmental or climate change impacts associated with this report.
Economic
There are no economic impacts associated with this report.
Risk
Rejecting the tender will result in delayed commencement of this project as a redesign and re-tendering. This may impact compliance with funding milestones.
Social / Cultural
Not applicable for this report.
Attachments
1. RFT 2526-005 Tender Confidential Memorandum to Councillors - Reject (Confidential - As this attachment contains commercial information of a confidential nature that would, if disclosed (i) prejudice the commercial position of the person who supplied it; or (ii) confer a commercial advantage on a competitor of the Council; or (iii) reveal a trade secret as per Section 10A(2)(d) of the Local Government Act 1993.
Although the above relates more explicitly to the discussion of closed business, it also forms part of the basis of justification as to why information relied upon in informing the public decisions made by Council are kept confidential. To consider this confidential material in open Council would be, on balance, contrary to the public interest (as defined in Section 14 of Government Information Public Access (GIPA) Act 2009) as it would potentially disclose private business information provided by tenderers in a confidential tender process and would also impact Council’s position in relation to its consideration, therefore impacting the tender process. This meets the requirements of Sect 10 D of the Local Government Act 1993 if Council were to close the meeting to discuss the details of individual tenderers.
|
Council |
25 February 2026 |
Staff Reports – Organisational Services
25 February 2026
10.1 Bermagui Community Centre Licence Renewals.............................................. 432
10.2 Audit, Risk and Improvement Committee - Recruitment of Independent External Members........................................................................................................................... 450
10.3 Request for financial assistance - waiver outstanding rates and charges........ 454
10.4 Certificate of Investment January 2026............................................................ 460
|
Item 10.1 |
10.1. Bermagui Community Centre Licence Renewals
This report seeks Council approval to renew sublicence agreements at the Bermagui Community Centre by direct negotiation.
Director Organisational Services
1. That Council approve the renewal of the sublicence agreements for Bermagui Historical Society, Southern NSW Local Health District, and the Bermagui Area Chamber of Commerce and Tourism (VIC) for a further three‑year term, by direct negotiation, subject to an updated market rental valuation and the submission of new rental rebate applications by each tenant.
2 Authorise the Chief Executive Officer to execute all necessary documentation to provide the extension of tenure and to finalise the renewed agreements.
Executive Summary
This report recommends the renewal of sublicence agreements for Bermagui Historical Society, Southern NSW Local Health District, and Bermagui Area Chamber of Commerce and Tourism (VIC) at the Bermagui Community Centre by direct negotiation. This approach is consistent with ICAC guidelines, ensures continuity of valued community services, and reflects limited demand for these spaces as demonstrated by previous EOI processes.
Updated market rental valuations and new rental rebate applications will be required to ensure transparency and fairness. Aligning licence expiry dates will support future planning and enable a comprehensive Expression of Interest process for all spaces in 2026.
The recommended approach balances financial sustainability, community benefit, and efficient asset management, while ongoing advocacy continues for further rental concessions on the Crown Land head lease.
Background
Council has previously considered the management and renewal of licence agreements for spaces within the Bermagui Community Centre through a series of reports and resolutions.
At its Ordinary Meeting of 17 February 2021, Council resolved to:
1. That Council receive and note this report and Confidential Report attached.
2. That Council note the Expression of Interest process for the occupation of office space within Bermagui Community Centre has now closed.
3. That Council approve a further five-year licence to Bermagui Historical Society for their continued occupation of space within the Bermagui Community Centre for the market rental fee of $6,875 (plus GST), less a rebate achieved of 67%.
4. That Council approve a further five-year licence to Four Winds for their continued occupation of space within the Bermagui Community Centre for the market rental fee of $14,350 per annum (plus GST), less a rebate achieved of 56%.
5. That Council approve a further five-year licence to Southern NSW Local Health District for their continued occupation of space within the Bermagui Community Centre for the market rental fee of $7,198.98 (plus GST).
6. That Council authorise the General Manager and Mayor to execute the above-mentioned licence agreements.
7. That Council make an application to NSW Department of Industry – Lands and Water for an investigation to be undertaken to create a reserve over Lot 2 DP 1102635 and for Council to be appointed as the Crown Land Manager of the reserve.
At its Ordinary Meeting of 23 August 2023 (Item 10.4), Council considered the renewal of the Bermagui VIC licence agreement and resolved to:
1. Approve a further three-year licence to Bermagui Area Chamber of Commerce and Tourism for their continued occupation of space within the Bermagui Community Centre for a commencing rental of $1,000 plus GST for 2023–24, to be adjusted for 2024–25 and the following year by CPI.
2. Note there is no formal agreement with the Shire’s Visitor Information Centres (VICs) and that a review of VICs funding allocations will be considered in the context of Council's Economic Development Roadmap, with an Expression of Interest for all space at the Bermagui Community Centre planned for 2026.
3. Require Bermagui Area Chamber of Commerce and Tourism to pay all costs associated with the extension of tenure.
4. Revoke point 7 of resolution 21/21 from the 17 February 2021 meeting regarding the application to create a reserve and appoint Council as Crown Land Manager.
5. Continue to pursue Crown Lands regarding a rental waiver on the annual Crown Land Lease 379337 fee, noting that Crown Land Manager status cannot be progressed without a Native Title certificate and Crown Lands are not issuing such certificates.
6. Authorise the Chief Executive Officer to execute all necessary documentation to provide the extension of tenure and applications to Crown Lands as required.
Council continues to manage the Bermagui Community Centre under the terms of the Crown lease, with ongoing engagement with Crown Lands regarding rent redetermination, native title status, and the possibility of reserve creation and appointment as Crown Land Manager. There has been ongoing advocacy for a rental waiver on the annual Crown Land Lease 379337 fee, highlighting that Council cannot progress Crown Land Manager status without a Native Title certificate, which Crown Lands are currently not issuing. Council has secured a 50% rent rebate under the Crown Lands Financial Concessions Policy but continues to seek further concessions until native title is resolved. This advocacy is ongoing and forms part of Council’s broader strategy to minimise costs and ensure the long-term sustainability of the Bermagui Community Centre.
Following the vacation of the Four Winds office space in July 2024, Council repurposed the area as a small co-working space within the Bermagui Community Centre. This initiative was undertaken to make better use of the vacant space and is consistent with the approved lease purpose as a community centre. The space remains available for community use, including potential library-led initiatives, and Council continues to monitor its utilisation and financial performance.
In considering the renewal of licences for the three existing tenants at the Bermagui Community Centre, it is not considered worthwhile to undertake a full EOI process currently. All three tenants - Bermagui Historical Society, Southern NSW Local Health District, and Bermagui Area Chamber of Commerce and Tourism (VIC) are established not-for-profit or community organisations that provide significant benefit to the local community and have a proven record of responsible occupancy. Previous EOI processes have demonstrated limited demand for these spaces, with the same tenants reappointed and some areas remaining vacant. Conducting a new EOI would incur unnecessary costs and administrative effort, with little likelihood of attracting alternative suitable applicants.
To ensure transparency and fairness, it is proposed that an updated market rental valuation be obtained, and the tenants be required to submit new rental rebate applications, ensuring that renewed agreements reflect current market conditions and Council’s adopted procedures. This approach is consistent with ICAC guidelines, which support direct negotiation in cases where the premises are specialised, the tenants are community-focused, and a competitive process is unlikely to yield a better outcome. For these reasons, a resolution is sought to extend the tenure of the existing tenants by direct negotiation, rather than proceeding with a full EOI process.
To facilitate future planning and a coordinated approach to tenancy management, Council intends to align the expiry dates of the Bermagui Historical Society and Southern NSW Local Health District sublicences with the Bermagui Area Chamber of Commerce and Tourism (VIC) agreement. This will be achieved by utilising the holding over provisions within the existing licence agreements, allowing these tenancies to continue monthly until the planned expiry date for the Bermagui Area Chamber of Commerce and Tourism (VIC) licence in June 2026.
Options
The options available to Council are:
1. Approve direct negotiation and renewal with existing tenants.
Council may resolve to extend the tenure of Bermagui Historical Society, Southern NSW Local Health District, and Bermagui Area Chamber of Commerce and Tourism (VIC) by direct negotiation, following updated market rental valuations and the submission of new rental rebate applications. This approach is consistent with ICAC guidelines, ensures continuity of community services, minimises administrative costs, and reflects the limited demand for these spaces as demonstrated by previous EOI processes. Recommended.
2. Undertake a full Expression of Interest (EOI) process prior to renewing tenure arrangements.
Council may choose to conduct a full EOI process for all or some spaces within the Bermagui Community Centre. This would involve advertising, evaluation, and potential legal review, incurring additional costs and officer time, as well as requiring significant time and effort from the existing tenants to prepare and submit applications. Given the history of occupancy and limited interest from alternative applicants, this option is unlikely to yield a better outcome and may disrupt existing community services. It should also be noted that, following the vacation of the Four Winds office space, Council has established a co-working space that remains available for other community use, providing flexibility for new or casual users without the need for a formal EOI process for that area.
3. Further reduce the rent for the VIC.
Council may consider providing an additional rental reduction for the Bermagui Area Chamber of Commerce and Tourism (VIC), consistent with the approach taken in the 23 August 2023 resolution. This option would support the continued operation of the VIC and recognise its community benefit; however, it would reduce rental income to Council and may establish a precedent for negotiations with other tenants.
While the Rental Assessment and Rebate Procedure outlines the framework for determining rental rebates, any concession beyond the assessed rebate level is a matter for Council decision. This occurred in 2023 when Council resolved to grant the Bermagui VIC an additional rebate above the calculated amount. Any future requests for concessions beyond the determined rebate would similarly require a formal resolution of Council.
Community and Stakeholder Engagement
Engagement undertaken
Council officers have engaged directly with the existing tenants, Bermagui Historical Society, Southern NSW Local Health District, and Bermagui Area Chamber of Commerce and Tourism (VIC) regarding their ongoing occupancy and the proposed renewal of their sublicence agreements. This includes written confirmation from Bermagui Area Chamber of Commerce and Tourism (VIC) and the Bermagui Historical Society of their intention to renew. Council officers are continuing to follow up Southern NSW Local Health District for confirmation they wish to renew their tenure arrangement.
Council has also liaised with Crown Lands on matters relating to the head lease, rental rebates, and compliance with Crown Land requirements.
Engagement planned
If Council endorses the recommended approach, further engagement will be undertaken with each tenant to process new rental rebate applications and negotiate the terms of the renewed agreements. Council will engage a valuer to provide updated market rental valuations for each tenancy. Ongoing communication with Crown Lands will continue regarding lease compliance, rental waivers, and any changes to tenure arrangements.
Financial and Resource Considerations
The current sublicence agreements at the Bermagui Community Centre provide rental income to Council, with rental levels determined in accordance with market valuations and Council’s Rental Assessment and Rebate Procedure.
· Bermagui Historical Society holds a sublicence expiring on 28 February 2026, with a 67% rental rebate applied and a current annual rent of $2,967.48.
· Bermagui Area Chamber of Commerce and Tourism (VIC) holds a sublicence expiring on 30 June 2026. In 2023, the VIC’s rebate assessment resulted in a 75% rebate, equating to an annual rental of $4,500 plus GST. However, Council resolved on 23 August 2023 to provide an additional concession, reducing the VIC’s current annual rent to $1,167.98.
· Southern NSW Local Health District holds a sublicence expiring on 17 February 2026, with a current annual rent of $9,379.61.
As part of the proposed renewal process, all tenants will be required to submit updated rental rebate applications, and new agreements will be based on refreshed market valuation to ensure transparency, equity, and alignment with Council procedures.
Council remains responsible for the Crown Land head lease (Lease 379337) for the Bermagui Community Centre site. The annual lease fee is currently $19,833.93, following the application of a 50% rent rebate under the Crown Lands Financial Concessions Policy in August 2025. The lease is subject to annual review by Crown Lands. Council continues to advocate for a full rental waiver given the unresolved native title status and Council’s inability to progress Crown Land Manager status; however, at present, the head lease continues to represent a significant ongoing cost.
Administrative resources are required to support the management and renewal of these agreements. The proposed approach balances revenue generation with community benefit, ensuring that the facility remains accessible to key service providers while managing Council’s financial obligations under the head lease.
In addition, formal funding agreements with the four accredited Visitor Information Centres were executed in July 2024, securing funding through to June 2028 under the Special Rate Variation. Each VIC receives $37,350.69 per year (plus GST where applicable) in the 2024 - 2025 financial year, indexed annually in line with the rate peg.
Legal /Policy
The renewal of licences at the Bermagui Community Centre is governed by the Local Government Act 1993, Council’s Management of Leases and Licences Procedure, and the terms of the Crown Land lease. The Centre’s permitted use is as a community facility, and all current tenants are not-for-profit or community organisations delivering public benefit.
In line with the Independent Commission Against Corruption (ICAC) guidelines, direct negotiation with existing tenants is appropriate where:
· The tenant is a not-for-profit or community organisation providing a public benefit;
· The premises are specialised or have limited alternative uses;
· A competitive process is unlikely to yield a better outcome; and
· The process is transparent and subject to Council approval.
These criteria are met in this case. Previous EOI processes have shown limited demand and resulted in the reappointment of the same tenants. Updated market rental valuations and new rental rebate applications will ensure transparency and compliance with Council’s adopted procedures. This approach minimises administrative costs, maintains continuity of service, and aligns with Council’s legal and policy obligations for the management of public assets, as supported by past Council reports and resolutions.
Impacts on Strategic/Operational/Asset Management Plan/Risk
Strategic Alignment
Renewing licences for existing tenants at Bermagui Community Centre Council’s Delivery Program 2025–2029 and Operational Plan objectives. The proposal aligns with Council’s commitment to providing accessible, well-managed facilities that foster social, cultural, and economic wellbeing. Direct negotiation with established community organisations ensures continuity of valued services, efficient asset management, and supports the Delivery Plan’s focus on partnerships and responsible stewardship of public assets.
Environment and Climate Change
The renewal of licences and ongoing use of the Bermagui Community Centre is not expected to have any significant environmental or climate change impacts. All activities will continue within the existing building, and no new development or changes to land use are proposed.
Economic
The renewal of licences for existing tenants at the Bermagui Community Centre supports local economic activity by ensuring the continued operation of valued community services and organisations. Rental income from the sublicence agreements contributes to the ongoing costs of maintaining and operating the facility. The presence of the Bermagui VIC also supports local tourism and business engagement. The Centre’s flexible use of vacant spaces, including the co-working area, provides additional opportunities for economic participation and supports broader community and business needs.
Risk
The recommended approach presents minimal risk to Council. By renewing licences with established community tenants, Council maintains continuity of valued services and reduces the risk of vacancies or underutilisation of the facility. There is a low risk of perceived lack of transparency; however, this is mitigated by obtaining updated market valuations, requiring new rental rebate applications, and aligning the process with ICAC guidelines and Council policy. Financial risks are managed through regular review of rental income and ongoing advocacy for further concessions on the Crown Land head lease.
Should Council choose not to renew existing licences or delay decisions, there is a risk of service disruption, loss of community benefit, and increased administrative costs associated with a full EOI process.
Social / Cultural
The Centre provides a hub for local engagement, connection, and participation, hosting organisations that deliver valued community, health, historical, and tourism services. The continued presence of these not-for-profit and community groups fosters social inclusion, preserves local heritage, and strengthens community identity. The flexible use of vacant spaces, including the co-working area, further enhances opportunities for community interaction and cultural activities.
Attachments
1⇩. Council report dated 17 February 2021 EOI 2021-62 - Occupation of Office Space within Bermagui Community Centre
2⇩. Council report dated 23 August 2023 - Bermagui VIC licence agreement renewal
|
25 February 2026 |
|
|
Item 10.1 - Attachment 1 |
Council report dated 17 February 2021 EOI 2021-62 - Occupation of Office Space within Bermagui Community Centre |

|
25 February 2026 |
|
|
Item 10.1 - Attachment 2 |
Council report dated 23 August 2023 - Bermagui VIC licence agreement renewal |

|
Item 10.2 |
10.2. Audit, Risk and Improvement Committee - Recruitment of Independent External Members
Director Organisational Services
Executive Summary
This report presents the outcomes of Council’s recent recruitment process for independent external members of the Audit, Risk and Improvement Committee (ARIC). Following a comprehensive assessment of candidates, three new independent external members have been identified for appointment. It is recommended that Council formally endorses these appointments, with one of the new members to serve as ARIC Chair.
Background
Council resolved at its Ordinary Meeting of 12 November 2025, when considering ARIC future membership as follows:
1. That Council approves a full committee renewal after the December 2025 meeting, as detailed in the officer’s report.
2. That following a competitive EOI process for the three independent committee members on ARIC a report be presented to Council to confirm appointments.
In accordance with that resolution, an Expression of Interest (EOI) process was conducted to fill all positions on the Committee, reflecting the completion of the existing members’ terms and the requirement for a full committee refresh. The recruitment process was designed to ensure compliance with the Guidelines for Audit, Risk and Improvement Committees in Local Government and Council’s ARIC Terms of Reference.
Under the BVSC ARIC Terms of Reference, the Committee is comprised of:
· One independent Chair,
· Two independent external members, and
· One Councillor representative.
The purpose of the ARIC is to provide independent assurance and advice to Council on matters relating to governance, risk management, internal control, financial reporting, internal and external audit, and continuous improvement.
This report outlines the outcomes of the recruitment process and is supported by a Confidential Memorandum detailing the panel’s assessment, interview outcomes, reference checks, and recommendations to assist Councillors in determining the appointment of three independent external members to the Audit, Risk and Improvement Committee.
Options
1. Appoint three independent external members to the ARIC (recommended). This option supports continuity of governance and assurance oversight and ensures the Committee is fully constituted in accordance with the ARIC Terms of Reference and NSW Office of Local Government guidelines.
2. Councillors may choose to appoint fewer than three independent external members at this time and defer appointment of any remaining positions. This option may result in the Committee operating below its preferred composition and may impact its capacity to discharge its functions effectively.
3. Councillors may resolve not to make appointments at this time and request further information or recommence the recruitment process. This option would delay the establishment of a fully constituted ARIC and may affect Council’s governance and assurance arrangements.
Community and Stakeholder Engagement
ARIC is an independent advisory committee consisting of independent community members that help our elected officials meet their responsibilities to oversee Council. In this sense ARIC is a form of consultation with independent members who conduct their service to Council in accordance with the requirements of the LG Act.
Engagement undertaken
Engagement for the ARIC recruitment process was undertaken in accordance with Council’s ARIC Terms of Reference and the NSW Office of Local Government Guidelines for Audit, Risk and Improvement Committees in Local Government.
An EOI was publicly advertised and open for 25 days, from Thursday, 18 December 2025 to Sunday, 11 January 2026, to invite applications from suitably qualified and experienced independent members of the community.
Engagement planned
The existing meeting arrangements will continue with the next ARIC meeting scheduled to be held in March 2026.
Following Council’s consideration of this report and the attached Confidential Memorandum, the following engagement activities are planned:
· Notification of outcomes will be provided in writing to all applicants, advising them of the result of the recruitment process.
· Formal appointment correspondence will be issued to the successful candidates, including terms of appointment, tenure, remuneration arrangements and governance obligations.
· Onboarding and induction will be coordinated for newly appointed ARIC members, including provision of key governance documents, briefings on Council’s operations, and an overview of ARIC roles and responsibilities.
· Public disclosure of the ARIC appointments will occur through appropriate Council channels following Council resolution, in accordance with governance and transparency requirements.
· ARIC meeting scheduling will be updated to reflect the new committee membership, ensuring continuity of oversight and compliance with ARIC Terms of Reference.
Financial and Resource Considerations
From 1 March 2026, members of the ARIC will be remunerated in accordance with Council’s adopted arrangements, with the Chair receiving $1,500 per meeting and independent members receiving $1,000 per meeting, plus superannuation and reimbursement of reasonable out‑of‑pocket expenses where applicable.
The existing budget allocation is sufficient to cover ARIC member remuneration and the costs associated with convening quarterly committee meetings. All other administrative and support costs related to the operation of the ARIC are accommodated within existing general fund operational budgets, including salaries and wages for staff providing secretariat support and reporting to the Committee.
Legal /Policy
Council is required to establish and maintain an ARIC in accordance with section 428A of the Local Government Act 1993. The appointment of ARIC members must be made by resolution of Council, consistent with the requirements of the Local Government (General) Regulation 2021.
The ARIC operates in compliance with Part 4A of the Local Government Act 1993 and Council’s adopted ARIC Terms of Reference.
A core function of the ARIC is to provide independent oversight and advice to Council on governance, risk management, internal control, financial reporting, audit processes and compliance. In particular, the Committee reviews whether appropriate systems and mechanisms are in place to identify, manage and monitor legal and compliance risks, including compliance with relevant legislation, regulations and government policies.
In accordance with the Guidelines for Risk Management and Internal Audit Framework for Local Councils in NSW, the ARIC is required to report regularly to the governing body. This includes providing an update to Council on the Committee’s activities, observations and recommendations following each ARIC meeting.
Impacts on Strategic/Operational/Asset Management Plan/Risk
Strategic Alignment
Delivery Program 2025-2029 identifies as core business the need to “Support the function of Council’s Audit, Risk and Improvement Committee (ARIC)”. This report directly contributes to that objective by:
· Providing quarterly updates to the governing body and Chief Executive Officer on audit and risk activities.
· Highlighting emerging risks and compliance issues that may influence Council’s strategic direction.
· Ensuring Council’s decision-making is informed by independent oversight and risk intelligence.
· Fulfilling the requirements of the Guidelines for Risk Management and Internal Audit for Local Councils in NSW, which mandate quarterly reporting and strategic work planning.
· Documenting ARIC’s review of internal and external audit matters.
· Supporting the Delivery Plan’s capital program and service delivery targets through effective risk management.
· Tracking and following up on past audit actions via the Pulse system.
· Offering independent assurance on financial management, governance, and internal controls.
Environment and Climate Change
ARIC provides assurance through monitoring and evaluation of council’s risk management and audit functions, including assessment that strategic and operational environment risks are managed and climate change impacts considered in governance frameworks.
Economic
The diversity of ARIC member’s skills and experience contribute to the value of advice and probity in financial management and the contribution of council to the local economy.
Risk
Risk management is a key focus area of the committee terms of reference, and therefore a core set of skills that add value to the operation and advice provided by the committee to councillors and management.
Social / Cultural
Council as a key contributor to social and cultural infrastructure and services to the Bega Valley community. The function and benefit of independent members on the committee provide assurance that Council’s governance frameworks and decision making consider social impacts.
Attachments
1. Councillor Memorandum Audit Risk Improvement Committee Expression of Interest Recruitment (Confidential - As this attachment contains commercial information of a confidential nature that would, if disclosed (i) prejudice the commercial position of the person who supplied it; or (ii) confer a commercial advantage on a competitor of the Council; or (iii) reveal a trade secret as per Section 10A(2)(d) of the Local Government Act 1993.
Although the above relates more explicitly to the discussion of closed business, it also forms part of the basis of justification as to why information relied upon in informing the public decisions made by Council are kept confidential. To consider this confidential material in open Council would be, on balance, contrary to the public interest (as defined in Section 14 of Government Information Public Access (GIPA) Act 2009). This meets the requirements of Sect 10 D of the Local Government Act 1993 if Council were to close the meeting to discuss the details.
|
Item 10.3 |
10.3. Request for financial assistance - waiver outstanding rates and charges
Council has received a request from Bega Local Aboriginal Land Council (LALC) for financial assistance in purchasing land for Aboriginal housing.
Director Organisational Services
That Council consider the request from Bega Local Aboriginal Land Council (LALC) to remove the debt of outstanding rates and charges on Lot 3 DP240604 if the ownership of land is transferred to the Bega LALC.
Executive Summary
Council has received a formal request from Bega Local Aboriginal Land Council (Bega LALC) for support to enable the transfer of the Lot 3 DP240604 property (17-19 Bunyarra Drive, Bega) from Office of the Registrar of Indigenous Corporations (ORIC) to Bega LALC for the purpose of developing 10–12 Elders dwellings. The request asks Council to waive all outstanding rates and charges on the property.
The proposed project aligns strongly with NSW Government housing directions and Council’s strategic plans including Affordable Housing Strategy and the current Memorandum of Understanding (MoU) between Council and the Bega, Eden and Merrimans Local Aboriginal Lands Councils, specifically priorities relating to housing supply, ageing in place, Aboriginal‑led initiatives, and community wellbeing.
Background
Lot 3 DP240604 is in the control of the Office of the Registrar of Indigenous Corporations (ORIC). ORIC as caretakers do not pay rates and charges of properties that they receive as caretakers and their advice to Council was to proceed to sale of land to recover the rates and charges.
The parcel has been identified under the sale of land (SOL) project to be undertaken in FY2027, it meets the requirement for SOL as rates remain unpaid for greater than five years.
Options
Option 1 – Proceed with Sale of Land through Auction (February 2027)
Council can continue the existing Sale of Land process.
Advantages:
· Provides the potential to recover some or all outstanding rates and charges depending on the final auction price.
· Follows standard and transparent disposal processes.
Risks:
· Competitive bidding may result in the land being purchased by parties whose intended use does not align with community housing needs.
· Delays activation of the site, with an auction by Council expected in early 2027.
· Missed opportunity for an Aboriginal‑led housing project with strong community benefit.
Strategic Alignment:
· Neutral: While consistent with standard governance practices, this option for proceeding as a sale of land does not actively promote broader housing or wellbeing objectives.
Option 2 – Support Bega LALC and provide a Council donation equal to outstanding rates if the ownership of land is transferred from ORIC.
Under this option, the land would transfer to Bega LALC with outstanding rates still attached. Council would then make a donation to Bega LALC equivalent to the value of these charges. Bega LALC may then apply for rates exemption as a landholder.
Advantages:
· Directly supports the delivery of 10–12 Elders dwellings, addressing priority housing shortages.
· Provides intergenerational benefit through the release of existing housing stock.
· Strengthens Council’s relationship with Aboriginal community organisations.
· Activates land earlier than the auction timeframe.
· Aligns with Council’s strategic housing and community wellbeing objectives.
Risks:
· Council would forgo revenue equivalent to the outstanding rates.
· May raise a precedent; however, these can be mitigated by the unique cultural, social, and strategic context of the proposal given the alignment with council’s adopted strategies.
· Unless there are restrictions placed on the title or some other binding mechanism there may be nothing preventing future sale of the property with the LALC then receiving the proceeds of sale the same as if it had been auctioned by Council.
Strategic Alignment:
· Advances Council’s housing strategy and undertakings contained in the MOU between Council and the Bega, Eden and Merrimans Local Aboriginal Lands Councils by supporting Aboriginal‑led initiatives.
Community and Stakeholder Engagement
Engagement undertaken
Council received a request in writing from Mr Marcus Mundy, Chairperson, Bega Local Aboriginal Land Council. This report presents the request for consideration by Council.
Council has been in contact with ORIC since 2023 regarding Lot 3 DP240604 and there has been a similar request for transfer of ownership of the land that did not proceed.
Engagement planned
If Council was to support Bega LALC with donation of outstanding rates and charges, Council is required to advertise this assistance under the Local Government Act 1993.
Financial and Resource Considerations
Financial considerations for option 1 are the auction costs of approximately $2,721. Any sale proceeds pays the auction fees and the unpaid rates and charges. If the sale results in more than the expenses and amounts outstanding there is no cost to Council. If proceeds are less than the costs and unpaid rates, Council is required to transfer the parcel free of debt and any unpaid rates are Councils responsibility.
Financial considerations for option 2 – ORIC would transfer the land including unpaid rates and charges to Bega LALC. Bega LALC has requested Council write of the unpaid rates and charges.
Legal /Policy
The proposed transfer and donation approach is consistent with Council’s authority under the Local Government Act 1993 to provide financial assistance where a clear community benefit is demonstrated. As the donation would be made post‑transfer, the approach maintains compliance with statutory accounting and reporting requirements.
The project aligns with NSW Government housing policy directions and supports Aboriginal‑led community outcomes.
Impacts on Strategic/Operational/Asset Management Plan/Risk
Strategic Alignment
Supporting the transfer to Bega LALC enables activation of currently underutilised land and delivers a project that addresses multiple strategic housing objectives. Operationally, Option 2 removes ongoing debt recovery processes.
Environment and Climate Change
The development proposed by Bega LALC will require site remediation, including structure removal and management of invasive bamboo. This provides an opportunity to improve local environmental conditions and ensure the site is prepared in accordance with contemporary environmental standards.
Future development would be subject to NSW planning requirements addressing sustainability, energy efficiency, and climate resilience.
Economic
Option 1 may return outstanding rates depending on auction outcome, though this remains uncertain.
Option 2 requires Council to forgo equivalent revenue through a donation but supports a project that may deliver broader economic benefit through local construction activity, enabling Elders to age in place, and relieving pressure on social housing systems.
Indirect economic benefits include improved community stability and undertakings of the MOU between Council and the Bega, Eden and Merrimans Local Aboriginal Lands Councils.
Risk
Key risks include concerns about setting precedent for similar future requests and ensuring transparent justification for Council’s decision. These risks are balanced by the strong community benefit, strategic alignment, and cultural significance of the proposal.
Option 1 carries risks relating to uncertainty of auction outcomes and the possibility that land use by a private purchaser may not align with community priorities.
Social / Cultural
The proposed Elders village would directly support Aboriginal community wellbeing, cultural connection, and ageing in place. Supporting an Aboriginal‑led housing project is consistent with Council’s commitments to inclusion, reconciliation, and community‑driven outcomes.
Attachments
1⇩. Bega LALC request for waiver outstanding charges
2. 2026.02.25 CONFIDENTIAL ATTACHMENT - Request for rates and charges waiver - Councillor Memo (Confidential - As this attachment contains information that would, if disclosed, confer a commercial advantage on a person with whom the Council is conducting (or proposes to conduct) business as per Section 10A(2)(c) of the Local Government Act 1993.
Although the above relates more explicitly to the discussion of closed business, it also forms part of the basis of justification as to why information relied upon in informing the public decisions made by Council are kept confidential. To consider this confidential material in open Council would be, on balance, contrary to the public interest (as defined in Section 14 of Government Information Public Access (GIPA) Act 2009). This meets the requirements of Sect 10 D of the Local Government Act 1993 if Council were to close the meeting to discuss the details.
|
Item 10.4 |
10.4. Certificate of Investment January 2026
This report details Council’s cash and investments at 31 January 2026.
Director Organisational Services
1. That Council receive and note the report on Council’s investment position at 31 January 2026.
2. That Council notes the certification of the Responsible Accounting Officer.
Executive Summary
I, Judy Jordan, as the Responsible Accounting Officer of Bega Valley Shire Council, hereby certify the investments listed in the attached reports have been made in accordance with Section 625 of the Local Government Act 1993 (the LG Act) and clause 212 of the Local Government (General) Regulation 2021.
On 31 January 2026 the total capital value of cash and investments was $149,109,495.37 with 91% of Council’s investment portfolio directed to term deposits and the remainder held in cash deposit accounts. The following is investment information by fund:
|
Fund |
January 2026 ($’000) |
|
General Fund |
49,899 |
|
Water Fund |
27,967 |
|
Sewer Fund |
71,243 |
|
TOTAL |
149,109 |
All investments have been appropriately recorded in Council’s financial records, reconciled monthly.
Background
The Local Government Act 1993 and Local Government Regulation 2021 require that the Responsible Accounting Officer must present to Council monthly, the status of the investments held by Council. The Responsible Accounting Officer must detail the investments held, and their compliance with both internal policy and external regulation under the Ministerial Order of Investments.
Options
This is a receive and note report and does not require consideration of options for decision.
Community and Stakeholder Engagement
Engagement undertaken
There is no community or stakeholder engagement associated with the recommendation of this report.
Engagement planned
The investment details of Council are published in Council business papers and are publicly available at Council offices and on Council’s website.
Financial and Resource Considerations
A list of Council’s cash and investments held at 31 January 2026 is detailed below:
|
Table 1: Cash and Investments Listing |
||||||
|
Issuer |
Rating |
Type |
Purchase Date |
Maturity Date |
Interest Rate (%) |
Capital Value ($) |
|
Westpac |
AA- |
TD |
08/02/2024 |
09/02/2026 |
4.84 |
5,000,000.00 |
|
ING Bank (Australia) Ltd |
A |
TD |
11/03/2024 |
11/03/2026 |
4.85 |
5,000,000.00 |
|
NAB |
AA- |
TD |
18/12/2024 |
15/04/2026 |
4.89 |
2,000,000.00 |
|
Westpac |
AA- |
TD |
28/06/2024 |
28/04/2026 |
5.20 |
2,500,000.00 |
|
NAB |
AA- |
TD |
24/06/2025 |
04/05/2026 |
4.19 |
5,000,000.00 |
|
ING Bank (Australia) Ltd |
A |
TD |
25/09/2024 |
25/05/2026 |
4.53 |
5,000,000.00 |
|
BOQ |
A- |
TD |
31/01/2024 |
26/05/2026 |
4.80 |
2,000,000.00 |
|
Westpac |
AA- |
TD |
25/02/2025 |
15/06/2026 |
4.62 |
5,000,000.00 |
|
BOQ |
A- |
TD |
28/05/2024 |
28/07/2026 |
5.00 |
5,000,000.00 |
|
ING Bank (Australia) Ltd |
A |
TD |
26/08/2024 |
18/08/2026 |
4.62 |
3,000,000.00 |
|
NAB |
AA- |
TD |
30/06/2025 |
20/08/2026 |
4.05 |
5,000,000.00 |
|
Westpac |
AA- |
TD |
06/09/2023 |
07/09/2026 |
4.88 |
3,000,000.00 |
|
Westpac |
AA- |
TD |
30/09/2025 |
30/09/2026 |
4.17 |
5,000,000.00 |
|
NAB |
AA- |
TD |
30/05/2025 |
14/10/2026 |
4.10 |
4,000,000.00 |
|
NAB |
AA- |
TD |
26/11/2024 |
05/11/2026 |
4.80 |
3,000,000.00 |
|
BOQ |
A- |
TD |
28/05/2024 |
26/11/2026 |
4.95 |
5,000,000.00 |
|
Hume Bank |
BBB+ |
TD |
26/08/2024 |
08/12/2026 |
4.55 |
5,000,000.00 |
|
Westpac |
AA- |
TD |
30/09/2025 |
06/01/2027 |
4.14 |
4,000,000.00 |
|
Suncorp Bank |
AA- |
TD |
11/01/2024 |
11/01/2027 |
4.88 |
2,000,000.00 |
|
NAB |
AA- |
TD |
14/01/2026 |
14/01/2027 |
4.60 |
5,000,000.00 |
|
NAB |
AA- |
TD |
25/02/2025 |
25/02/2027 |
4.55 |
5,000,000.00 |
|
NAB |
AA- |
TD |
28/01/2026 |
02/03/2027 |
4.73 |
2,500,000.00 |
|
ING Bank (Australia) Ltd |
A |
TD |
25/09/2024 |
25/03/2027 |
4.50 |
2,000,000.00 |
|
NAB |
AA- |
TD |
26/02/2025 |
05/04/2027 |
4.50 |
5,000,000.00 |
|
BOQ |
A- |
TD |
20/03/2025 |
11/05/2027 |
4.49 |
3,000,000.00 |
|
BOQ |
A- |
TD |
06/03/2025 |
11/05/2027 |
4.55 |
3,000,000.00 |
|
Westpac |
AA- |
TD |
28/02/2025 |
16/06/2027 |
4.50 |
3,000,000.00 |
|
BOQ |
A- |
TD |
20/03/2025 |
08/07/2027 |
4.49 |
2,000,000.00 |
|
BOQ |
A- |
TD |
06/03/2025 |
08/07/2027 |
4.55 |
2,000,000.00 |
|
NAB |
AA- |
TD |
29/08/2025 |
19/08/2027 |
3.95 |
5,000,000.00 |
|
Westpac |
AA- |
TD |
12/01/2026 |
06/09/2027 |
4.57 |
2,000,000.00 |
|
BOQ |
A- |
TD |
28/02/2025 |
13/10/2027 |
4.50 |
2,000,000.00 |
|
BankVic |
BBB+ |
TD |
15/10/2025 |
15/10/2027 |
4.20 |
3,000,000.00 |
|
ING Bank (Australia) Ltd |
A |
TD |
16/12/2025 |
16/12/2027 |
4.70 |
5,000,000.00 |
|
ING Bank (Australia) Ltd |
A |
TD |
24/06/2025 |
30/08/2028 |
4.01 |
2,000,000.00 |
|
BankVic |
BBB+ |
TD |
25/09/2025 |
25/09/2028 |
4.08 |
2,000,000.00 |
|
ING Bank (Australia) Ltd |
A |
TD |
28/02/2025 |
28/02/2029 |
4.70 |
2,000,000.00 |
|
ING Bank (Australia) Ltd |
A |
TD |
30/05/2025 |
13/06/2029 |
4.24 |
5,000,000.00 |
|
Commonwealth Bank |
AA- |
CASH |
31/01/2026 |
31/01/2026 |
3.60 |
9,961,010.62 |
|
Commonwealth Bank |
AA- |
CASH |
31/01/2026 |
31/01/2026 |
3.65 |
3,000,000.00 |
|
NSWTC IM SCF |
AA- |
CASH |
31/01/2026 |
31/01/2026 |
2.66 |
148,484.75 |
|
Totals |
149,109,495.37 |
|||||
|
Table 2: Interest from Cash and Investments |
|
|
Interest earned for January 2026 |
$492,317 |
|
Financial year to date interest earned |
$3,883,207 |
|
Revised Budgeted interest for 2025/2026 financial year |
$4,620,000 |
|
Percentage of the 2025/2026 budget earned by Council |
84% |
Council’s investment portfolio is largely directed towards term deposits (91%). The remainder of the portfolio is held in cash deposit accounts with CBA and TCorp (9%).
The investments held by Council remain sufficiently liquid with 63% of investments maturing within the next 12 months.
Council’s cash and investment portfolio has a weighted average maturity of 372 days.
For the month of January, the investments held by Council provided a return of 4.68% p.a. This annualised performance exceeded the monthly RBA cash rate of 3.78% and the AusBond Bank Bill Index of 3.89%. The below table represents the annualised performance of council’s investment portfolio.

With the potential for interest rate cuts in the future and the maturing of higher yielding term deposits Council has been attempting to lock in rates across 1–5-year tenors. This aims to provide some protection against potential lowering rates.
Council continues to utilise the platform Imperium Markets, to assist in conducting, managing, and reporting on Council’s investments. This provides an automated process of sourcing quotes and investing monies which is allowing Council to better address investment risks. Additional to the platform, Arlo Advisory provide investment advice on the surrounding market conditions and how Council can maximise returns within the Ministerial Order and Council’s investment policy.
|
Table 3: Investments by Fund $’000 |
|||
|
November-2025 |
December-2025 |
January -2026 |
|
|
59,058 |
53,128 |
49,899 |
|
|
Water Fund |
26,587 |
28,974 |
27,967 |
|
Sewer Fund |
69,216 |
71,972 |
71,243 |
|
TOTAL |
154,861 |
154,074 |
149,109 |
Each Fund’s allocation can only be utilised for its specific operations. For example, Water Fund cannot use its financial resources on General Fund projects.
Included in the General Fund investments are amounts that are externally restricted for specific purposes, i.e. contributions and unspent grants. In addition, there are amounts that are internally restricted by Council.
The value of outstanding government grant debtors on 31 January 2026 is $2,509,451 with $19,575 aged 4+ months. Council continues to work with our funding partners to keep these debts minimised.
Legal /Policy
Section 625 of the Local Government Act 1993 (LG Act) determines money may only be invested in a type of investment authorised by Order of the Minister for Local Government and published in the Local Government Gazette. The current Ministerial Order of Investment was published 17 February 2011.
Clause 212 of the Local Government (General) Regulation 2021 (LG Regulations) determines the Responsible Accounting Officer must provide Council with a written report setting out details of all money Council has invested under Section 625 of the LG Act.
The report must also include a Certificate as to whether the investments have been made in accordance with the LG Act, LG Regulations and Council’s Investment Policy.
Council has an Investment Policy (policy number 6.07) adopted on 27 November 2024. The policy is reviewed every four years by Council and annually by Council officers.
Impacts on Strategic/Operational/Asset Management Plan/Risk
Strategic Alignment
This report is provided in accordance with Council’s Community Strategic Plan (CSP), 2025-2029 Delivery Program and operational Plan activities
CSP Strategy: E.3 Government services have well -governed financial and strategic management processes to ensure ongoing viability and value for money.
This reporting supports the implementation of Council’s adopted Delivery Plan 2025-2029 as identified through the following core business activity undertaken by the finance team to:
· Manage Council’s borrowings and investments in accordance with Council’s Financial Strategy
Environment and Climate Change
Council considers the importance of environmental, social and governance factors in investment decision making.
As at 31 January 2026, Council’s investment portfolio included $5 million of green certified investments.
Economic
Council’s investment policy objective is to maximise returns by investing with the most favourable rate of return. Performance of investments are reported monthly, quarterly and annually.
Risk
Council policies have strict guidelines to reduce Council’s risk to capital. The following graphs provide representation of Council’s compliance to these measures.
Risk management means our investments are made giving regard to key criteria of counterparty, credit quality and maturity compliance.
At 31 January 2026, all cash and investments held are within the counterparty, credit quality and maturity policy limits.
Other legal instruments, such as the Ministerial Order referenced above, are also being used to mitigate financial risk.
Legend: Compliant Non-compliant



Social / Cultural
Maximising performance of returns enables the organisation to leverage additional funding received as a result of investment performance and use these towards community projects, programs and services.
Attachments
Nil
|
Council |
25 February 2026 |
Staff Reports - Executive
25 February 2026
11.1 Delivery Plan 2025-2029 - October to December 2025 Quarterly Progress Report 467
11.2 Australian Local Government Association (ALGA) 2026 National General Assembly - call for motions.............................................................................................................. 524
Council 25 February 2026 |
Item 11.1 |
This report provides Council with a status update on the progress of delivering the 2025-2029 Delivery Plan.
Chief Executive Officer
That Council:
1. Receive and note the Delivery Plan 2025-2029 Quarterly Progress Report for the period 1 October – 31 December 2025.
2. Publish the attached progress report on Council’s website.
Executive Summary
Council adopted the Delivery Plan 2025-2029 in June 2025. The attached report provides a progress update on the delivery of key council projects and services in the second quarter of the 2025-26 financial year covering the 1 October – 31 December 2025 period.
Background
Council had previously provided six-monthly progress updates on its annual Operational Plan. Transitioning to quarterly progress reporting, aligned with the Quarterly Budget Review Statements, aims to improve transparency in Council’s service delivery.
The structure of the quarterly progress report reflects the structure of the adopted Delivery Plan that focusses on Council’s role to either Provide, Collaborate or Advocate.
Council has evolved its planning and reporting processes to focus on the role that Council plays for our community, whether providing services and looking after our assets, collaborating with various stakeholders to drive change, or advocating for our community so that other levels of government understand our unique needs. All our work helps to deliver the outcomes outlined in the Community Strategic Plan.
Options
There are no options presented for this receive and note report.
Community and Stakeholder Engagement
Engagement undertaken
Extensive internal engagement across all teams was undertaken in developing this progress report.
Engagement planned
The Quarterly Progress reports, once noted by Council, can be found on Council’s website. https://begavalley.nsw.gov.au/council/performance-reporting
Financial and Resource Considerations
This report should be read in conjunction with the Quarterly Budget Review Statement (QBRS) December (Q2 Review) Report as presented to Council on 28 January 2026.
There are no direct costs in compilation and presentation of this quarterly report. Fulfilling the requirements of Integrated Planning and Reporting Framework outlined in the Local Government Act 1993 is delivered as an operational function within Executive Services.
Legal /Policy
Chapter 13 of the Local Government Act 1993 requires councils to report regularly on the status of delivering their adopted Delivery Plan.
Impacts on Strategic/Operational/Asset Management Plan/Risk
Strategic Alignment
The Delivery Plan 2025-2029 was developed to align with the adopted Community Strategic Plan 2042 and Resourcing Strategy 2025-29 including the Long-Term Financial Plan. Progress reporting is a business-as-usual activity within the Engagement and Corporate Strategy service area.
Environment and Climate Change
There are no direct environment or climate change implications associated with this report.
Economic
Council and its expenditure have a significant economic impact in the Bega Valley. The preparation and publishing of our progress towards the implementation of the Delivery Plan provides a line of sight between funding and delivery, informing our community on Council’s contribution and commitment as a provider of a variety of public services.
Risk
Preparation of this Delivery Plan quarterly progress update has not identified any significant strategic risks associated with delivery of our programs, projects and services. The capital expenditure is lower than projected with teams providing ongoing updates to the capital program at each QBRS to reflect the reality of project delivery where numerous constraints and opportunities are managed with project scope, delivery timeline and budgets amended.
Operational risks that have the potential to impact delivery of Delivery Plan actions are managed by the leadership group and considered at weekly and monthly meetings, including appropriate risk mitigation and management actions.
Social / Cultural
The receive and note recommendation of this progress update does not have any negative social or cultural impacts.
1⇩. Delivery Plan 2025-2029 Q2 October-December 2025 Quarterly Progress Report
|
25 February 2026 |
|
|
Item 11.1 - Attachment 1 |
Delivery Plan 2025-2029 Q2 October-December 2025 Quarterly Progress Report |

Council 25 February 2026 |
Item 11.2 |
11.2. Australian Local Government Association (ALGA) 2026 National General Assembly - call for motions
The Australian Local Government Association (ALGA) has called for motions from Councils to be considered at the National General Assembly (NGA) to be held in Canberra on 23-25 June 2026.
Chief Executive Officer
1. That the Mayor, Councillors (to be determined) and the Chief Executive Officer, or their delegate attend the Australian Local Government Association National General Assembly 2026 incorporating the Regional Cooperation and Development Forum.
2. That Motions 1-3 presented in the background of this report be forwarded to the Australian Local Government Association for consideration to include them as motions in the Business Paper for the Australian Local Government Association National General Assembly 2026.
3. That Councillors resolve on additional motions as required that meet the listed principles for forwarding to Australian Local Government Association for consideration to include them in the Business Paper for the National General Assembly 2026.
Executive Summary
The 2026 National General Assembly (NGA) of Local Government provides a platform for local government to address national issues and advocate to the federal government on critical issues facing our sector.
Background
The Australian Local Government Association (ALGA) is the peak national body representing local councils across Australia. The 2026 National General Assembly (NGA) of Local Government will be held in Canberra from 23-25 June 2026. Information on the NGA and ACLG is available here:
https://alga.com.au/event/2026-national-general-assembly/
The theme for the 2026 NGA – Stronger Together: Resilient. Productive. United –
underscores the pivotal role Australia’s 537 councils play in shaping the nation’s future and delivering national priorities.
This year’s call for motion focusses on ten priority areas:
· Financial sustainability
· Emergency management
· Housing and planning
· Roads and infrastructure
· Closing the Gap
· Jobs and skills
· Environment
· Cyber security
· Climate change
· Intergovernmental relations.
Councils are encouraged to read the Discussion Paper (Attachment 1) that contains essential information for councils considering submitting motions for debate at the Assembly. ALGA has called for motions to be considered at the NGA to be forwarded by 27 February 2026.
Council officers reviewed the ALGA resolutions tracker to determine if an existing motion covered the advocacy priorities of Council. The Motions 1-3 were deemed to be appropriate for submission as they are either key issues of concern for the local community or fundamentally affect Council’s operations.
The ALGA 2025 NGA resolutions tracker is available at the following link.
https://alga.com.au/resolutions-table/2024-nga-resolutions/
The ALGA 2025 NGA resolutions tracker is available at the following link.
https://alga.com.au/resolutions-table/2025-nga-resolutions/
To be eligible for inclusion in the NGA Business Papers, and then debated on the floor of the NGA, motions must meet the following criteria:
1. A new motion that has not been debated at an NGA in the preceding two years as found in previous business papers on the ALGA website.
2. Relevant to the work of local government across the nation, not focused on a specific location or region, unless the project has national implications.
3. Aligned with the policy objectives of your state and territory local government association.
4. Propose a clear action and outcome on a single issue, calling on the Australian Government to take action. Motions covering more than one issue will not be accepted.
5. Ensure the motion does not seek to advantage one or a few councils at the expense of others.
6. Avoid being prescriptive in directing how the matter should be pursued.
Council officers Motions 1-3
Motion 1
|
Category |
Cyber security |
|
Motion Subject |
Federal Government support for local government data and digital government capabilities |
|
Motion Wording |
This National General Assembly urges the Australian Government to incorporate local government into the implementation of the Data and Digital Government Strategy, providing councils with access to equivalent frameworks, resources, and support as Commonwealth agencies. We call for adaptable federal programs to support local government in protecting critical infrastructure and sensitive data, this could include: · Dedicated, ongoing funding, access to shared data and digital government resources for improved cyber, data and digital government stature. · Access to Federal procurement panels and contract arrangements (eg, BuyICT or options to piggyback core contracts). · Expansion of grants for digital and cyber resilience initiatives. |
|
National Objective Why is this a national issue and why should this be debated at the NGA? (Max 100 words) |
To ensure that all Australian local governments have the resources, skills, and support necessary to protect sensitive community data and critical infrastructure from increasingly sophisticated cyber threats, and to align local government cyber security maturity with national standards and the Data and Digital Government Strategy. |
|
Summary of Key Arguments Background information and supporting arguments (Max 150 words) |
The Federal Government’s Data and Digital Government Strategy sets out a vision for simple, secure, and connected public services through world-class data and digital capabilities, underpinned by strong cyber security foundations. Local governments manage large volumes of sensitive data and critical infrastructure, making them attractive targets for cyber attacks, yet many councils lack the funding, skills, and capacity to implement robust cyber security measures. Extending the Strategy’s implementation to include local government will uplift cyber security maturity, provide access to shared services, and ensure councils can meet evolving threats and compliance requirements. Investment in cyber security skills and training will build long-term sector resilience and support digital transformation. Coordinated Federal programs and funding will enable councils to adopt best practice, protect community assets, and maintain public trust in local government services. |
|
Background note |
The Audit Office of NSW and ALGA have both identified cyber security as a growing risk for local government, with councils under-resourced to meet the challenge. Federal Government leadership, funding, and partnership are needed to ensure local governments can protect their communities and infrastructure in an increasingly digital environment. Essential 8, Cyber Act and Critical Infrastructure legislation are relevant for local government to adopt and observe. Likewise, the Data and Digital Government Strategy sets out a comprehensive approach to cyber security, data management, and digital capability for the Australian Public Service. Local governments face similar risks and responsibilities but lack equivalent resources and support. Extending the Strategy’s relevant elements to local government will strengthen national cyber resilience, protect communities, and ensure consistent standards across all levels of government. |
Motion 2
|
Category |
Closing the Gap |
|
Motion Subject |
Enabling Aboriginal land activation to support Closing the Gap |
|
Motion Wording |
This National General Assembly calls on the Australian Government to provide national leadership to support Closing the Gap outcomes through a review of Commonwealth biodiversity and environmental legislative and policy settings to ensure they do not unintentionally constrain Aboriginal Land Councils and other Aboriginal landholders from activating their land for housing, economic development and community benefit. |
|
National Objective Why is this a national issue and why should this be debated at the NGA? (Max 100 words) |
To support Aboriginal self-determination and accelerate Closing the Gap outcomes by ensuring Commonwealth environmental and biodiversity frameworks enable, rather than impede, Aboriginal led land activation across Australia. |
|
Summary of Key Arguments Background information and supporting arguments (Max 150 words) |
Aboriginal land activation is essential to achieving Closing the Gap targets, particularly in housing, employment and economic independence. Evidence from local governments and Aboriginal Land Councils shows that land returned through land rights processes is often highly constrained by biodiversity and environmental overlays, making development costly, slow or unviable. While environmental protection is critical, current Commonwealth frameworks can have disproportionate impacts on Aboriginal-owned land, particularly where land was returned in a marginal or environmentally burdened state. Strong Federal leadership is required to ensure national biodiversity and environmental laws appropriately recognise Aboriginal land ownership, cultural stewardship and Closing the Gap objectives, and do not perpetuate structural barriers to Aboriginal-led development. Reform at the Commonwealth level would complement state and local efforts and unlock long-term social, cultural and economic benefits. |
Motion 3
|
Category |
Housing and planning |
|
Motion Subject |
Federal leadership to enable tiny homes as affordable housing |
|
Motion Wording |
This National General Assembly calls on the Australian Government to provide national leadership to support the use of tiny homes and other small, affordable dwellings by working with state and territory governments to address planning, regulatory and policy barriers that currently limit their approval and deployment. |
|
National Objective Why is this a national issue and why should this be debated at the NGA? (Max 200 words) |
To expand affordable housing options across Australia by enabling greater use of tiny homes and smaller dwellings through coordinated national leadership and intergovernmental action. |
|
Summary of Key Arguments Background information and supporting arguments (Max 500 words) |
Australia is experiencing a nationwide housing crisis affecting metropolitan, regional and remote communities. Tiny homes and other small, lower-cost dwellings offer a practical and flexible housing option that can support affordability, ageing in place, workforce accommodation and rapid housing delivery. However, inconsistent and restrictive planning and regulatory frameworks across states and territories make it difficult for councils and communities to approve and implement tiny home solutions. While planning is primarily a state government responsibility, Federal leadership is needed to drive national coordination, share best practice and encourage reform across jurisdictions. A nationally supported approach would help unlock smaller and more affordable housing options without undermining local planning controls, and support broader housing supply and affordability objectives. |
Options
Council can elect to amend the Motions 1-3 as outlined or not provide motions for the ALGA conference.
Council can elect to send representatives to the ALGA conference or not.
Community and Stakeholder Engagement
Engagement undertaken
Internal engagement has been undertaken in development of the motions recommended by Council officers. Council continues to advocate on various matters impacting our community and contributions to advocacy forums like the National General Assembly provide an opportunity to ensure our voice is heard at a national level.
Engagement planned
Council will continue to engage with the community to develop our advocacy priorities. The community can contribute to and support our advocacy efforts with more information available on our website:
https://www.begavalley.nsw.gov.au/About-Council/Plans-and-Reporting/Advocacy
Financial and Resource Considerations
Councils currently adopted budget makes adequate provision for attendance at the ALGA conference for the CEO, Mayor and Councillors (to be determined).
Earlybird Registration is $999 (incl GST) per person. The conference dinner ticket (optional) is $200 (incl GST) per person.
Legal /Policy
The NGA is the key national agenda setting forum for local government with hundreds of delegates from across the country connecting to share their united voice to improve outcomes in the sector.
Impacts on Strategic/Operational/Asset Management Plan/Risk
Strategic Alignment
Submitting motions to the NGA aligns with Council’s commitment to advocate to the Federal Government on critical priorities for our community and the local government sector more broadly.
Environment and Climate Change
There will be motions linked to Council’s adopted position presented for consideration.
Economic
There will be motions linked to Council’s adopted position presented for consideration.
Risk
There are no significant risks identified in attending the National Assembly.
Social / Cultural
There will be motions linked to Council’s adopted position presented for consideration.
Attachments
1⇩. Attachment 1 Australian Local Government Association 2026 National General Assembly Discussion Paper
|
25 February 2026 |
|
|
Item 11.2 - Attachment 1 |
Attachment 1 Australian Local Government Association 2026 National General Assembly Discussion Paper |

|
Council |
25 February 2026 |
Notices of Motion
25 February 2026
14.1 Water bubblers.................................................................................................. 553
14.2 Developing the Alice Street car park in Merimbula.......................................... 554
14.3 Cuttagee Bridge design and renewal progress................................................. 555
Council 25 February 2026 |
Item 14.1 |
14.1. Cr Tony Allen - Water bubblers
That staff provide a report that includes locations of existing bubblers across the Shire as well as potential locations for new bubblers at key locations across the Shire and indicative capital and ongoing costs.
Background
There are a number of existing locations across the Shire where existing water bubblers are located. These assets provide an important service to our community and visitors of all ages. There is an opportunity to consider where council could invest in expanding where these assets are provided including sites such as the new Pambula Sporting building.
Cr Tony Allen
Attachments
Nil
|
Item 14.2 |
14.2. Cr Mitchell Nadin - Developing the Alice Street car park in Merimbula
1. That as part of the Merimbula CBD upgrade Council engage a consultant to provide plans to build a tiered car park at council’s Alice Street parking site to establish feasibility (costings) and car park spaces yield and impact on the local traffic arrangement.
2. The plans be workshopped with the community and ultimately brought to council for endorsement.
3. It be noted that funds from internally restricted reserves would be intended to contribute toward the design and construction of the new car park.
Background
Merimbula’s parking problems are complex and historic, but one thing is clear and that’s more parking is needed, especially near the lakeside where most of the cafes and restaurants and the smaller boutique retail stores are.
We’ve known this for decades and yet there is still no plan from council to expand car parking in this part of town; on the contrary, the only adopted plans of council have us reducing car parking, and not by a small amount. The plans are part of landscape and traffic plans being considered by council and will likely result in the loss of at least 25 car parks, but this number could be as high as 60 depending on final plans and outcomes of intended trials. From my perspective this is unacceptable to the community, especially the business community in Merimbula.
That’s not to say improvements to landscaping and traffic reconfiguration don’t have merit - they have lots of positives like reclaiming waterfront land for recreation space or making it easier and safer to walk around the town, which is why plans were developed in the first place. But there was always a large trade-off with parking that the public are unlikely to accept, probably part of the reason why changes have never been implemented in a hurry.
That brings us to the present day where council now has some grant funding to make improvements to the CBD which includes trialling changes in the town. Unfortunately the cost of proposed changes could mean a huge loss of car parking which to me is not feasible.
But I don’t believe we should have to suffer a loss of car parking just to make some positive changes in the town. I believe the council must look at a strategy to neutralise potential car parking losses and the obvious place that many locals have pointed to for decades is developing the Alice Street car park into a layered car park to offset any losses along Beach Street.
To that end I put forward this motion to explore this option and signal that I would intend for it to be financed from the proceeds of the sale of council owned buildings and land in Merimbula during the past eight years.
Cr Mitchell Nadin
Attachments
Nil
|
Item 14.3 |
That Council:
1. Ensure that salvageable timber from Cuttagee bridge is retained by BVSC to be utilised for heritage recognition purposes
2. Identify potential uses of timber within the Cuttagee bridge precinct as part of detailed bridge design and for use in surrounding area, such as signage, seating, and other aesthetic purposes.
3. Consider how timber from Cuttagee bridge could be incorporated into planned works aapart of BVSC’s four year delivery plan, particularly in the Tathra-Bermagui area.
4. Consider options to commission an artist to utilise salvaged timber to create a public art sculpture
5. Provide a report back to Council with recommendations.
On 12 November 2025 after extensive consultation Council voted 5-4 to replace the nearly century old Cuttagee Bridge with a two lane concrete structure. The new bridge still requires further design works, Review of Environmental Factors (REF) appraisal, additional funding and further assessment before being completed in the coming years.
As outlined in the staff response to my Question Without Notice at the January 2026 meeting of Council, The Bega Valley Development Control Plan currently requires a Management Plan to be developed where demolition of an asset is proposed. Among other items, the Plan includes details on waste generation volumes and materials, how it will be stored, treated, recycled, its transportation, and disposal destination.
Staff also highlighted that Council’s Waste and Recycling Services team has seen an increase in developers proactively contacting them to discuss resource recovery opportunities that are available in the shire, as well as ways they can work with Council in a more collaborative way with respect to waste and resource management.
Finally, staff explained that for bridge replacement and renewal works, Council staff assess individual elements for potential reuse. Where suitable, materials are salvaged and stored at the bridge yard for use in other capital or maintenance projects.
For Council-led infrastructure projects, the recovery and reuse of materials is considered on a project-by-project basis.
This Notice of Motion seeks to ensure that we as a Council and a community do not miss the opportunity to salvage and repurpose the heritage timber used in the construction of Cuttagee Bridge. To see these historic materials sold off by contractors, or worse, simply disposed of would be an unacceptable outcome. By repurposing some of the timber to enhance the amenity of the Cuttagee bridge precinct and possibly as a public art installation would be a small but fitting way to memorialise the bridge and extend it’s life a little longer, albeit in a new form.
Working with interested community groups on the nature of any sculpture or public art piece that utilises the timber should be a key component of this initiative. Groups such as sculpture Bermagui and the restore cuttagee bridge group are examples of stakeholders that could provide input to ensure the greatest public benefit from both a heritage and artistic perspective.
Cr Simon Daly